nextupprevious
Next:ConclusionsUp:Realization of our conceptPrevious:Description of the testbed


Performance analysis of the mobility and resource management in the WLAN

Applying the measurement facilities in our WLAN testbed with IEEE802.11/b compatible 2 and 11 Mbps WaveLAN cards as data link and Mobile IP as network layer, we have evaluated the transport efficiency of TCP and UDP connections over a wireless link in several comprehensive series of experiments. As sender a TCP implementation of Digital Unix with slow-start and advanced congestion-avoidance mechanisms has been used (cf. [27]).
In a series of stationary and moving experiments within the same basic service area created by an AP in one subnetwork we have investigated the relationship between the transmission quality on the physical channel, the error behavior and the impact of the error recovery functions of the IEEE802.11 compatible WaveLAN layers as well as the transfer of protocol data units (PDUs) at the network and transport layers on top. For this purpose, first the MN has been put to fixed points like rooms 23 (closest), 14 and 16 (farest) with a determined distance to its associated AP located in room 23 below room 14. The signal quality is only influenced by local conditions and shows a steady behavior depending on the distance to the AP (see Fig. 11).

\includegraphics[scale=0.6]{figures/dbs-r23-r16-cwnd.ps}
Figure 11:Dynamic behavior of the TCP congestion window under stationary conditions in the good regime of room 23 (upper curve) and in the bad regime of room 16 (lower curve).

Table 1: Performance results of DBS measurements of the data transfer from host Mizar to an MN in room x attached to the AP in 23 in the 2 Mbps environment.
Room
x
SIR
 
Traffic
Type
TCP Forw.
Delay (s)
Throughp.
(Mbps)
Transfer
Delay (s)
23 37 stream  0.202189 1.2463 0.448839 
    on-off 0.205530 1.2279 0.429891 
14 33 stream  0.217941 1.2290 0.407960 
    on-off  0.206278 1.2364 0.406720 
15 18 stream  0.208466 1.1998 0.420251 
    on-off  0.202254 1.2348 0.425526 
16 4 stream  0.388990 0.6377 n.a. 
    on-off  0.241486 1.0334 n.a. 

In good transmission conditions of the wireless channel, e.g. in room 23, the wireless link-layer control can recover quickly single sudden transfer errors of MAC PDUs due to the small RTTs. In a low quality regime, e.g. in room 16, some errors can be recovered while most cannot be settled. The result is a multiple packet loss and/or time-out of the TCP flow control resulting in a restart within a congestion avoidance or, most often, an inefficient slow-start phase. Moreover, the on-off pattern of elastic flows has the advantage that the congestion window (cwnd) does not drop down as often as for stream traffic since burst errors may coincide with a silence phase of the source. Therefore, the mean window size is larger for elastic traffic and, hence, compared to stream traffic the throughput is in some cases about 62 % higher whereas in the good regime the stream class generates a slightly better throughput (see Tab. 1). However, for both patterns the transport efficiency of a standard TCP protocol degrades due to burst errors.
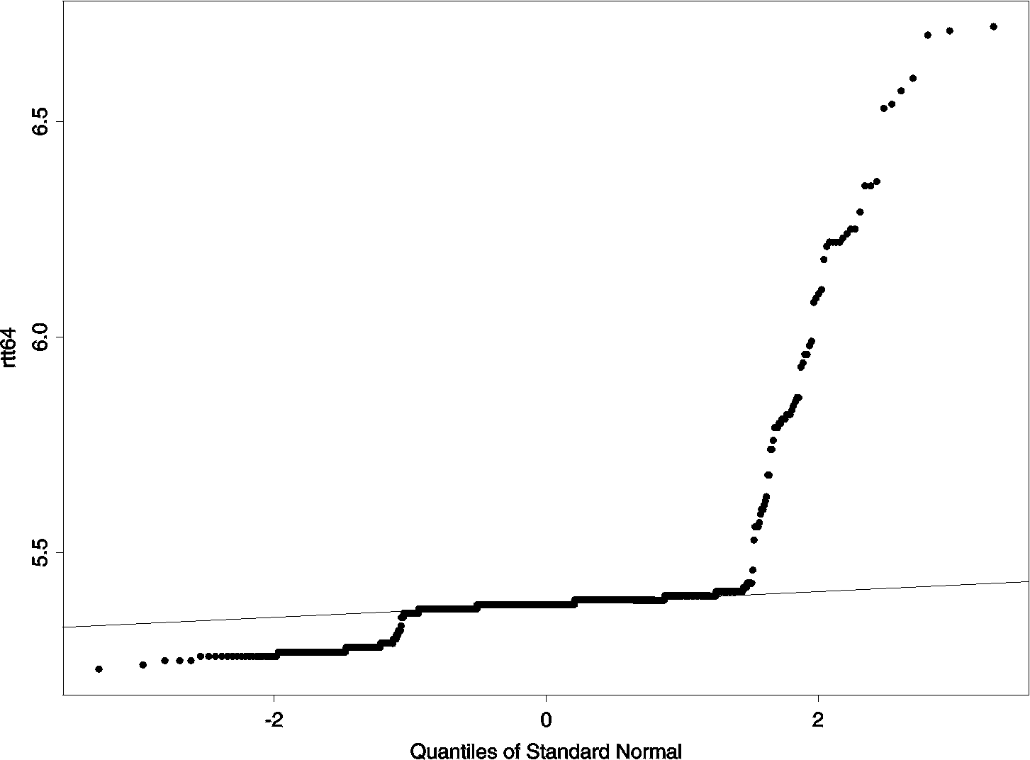
A careful statistical analysis of the RTT samples shows that the delays constitute a stationary time series  {di: i =1, 2, .. }  whose marginal distribution  Pr{ di <= x }  is no longer a normal distribution (see Figs. 12, 13). This feature is indicated by the quantile-quantile (qq) plot of the RTT sample with an ICMP payload of 64 byte arising from room 14 (see Fig. 13). Typically, due to the recovery from burst errors on the physical channel, the delay distribution is long-tailed and skew, i.e. the median is less than the mean due to the long tail. Normally, the concrete shape of the distribution is uni-modal and depends on the frame size, but we have also observed a multi-modal distribution (see Fig. 12). Due to the interference of competing MNs attached to the same AP cancellation errors may occur for longer frames. Hence, it may be expected that the long-tailed behavior of the delay distribution is even more pronounced for an increasing number of terminals and an increasing frame length.
 
\includegraphics[scale=0.6]{figures/rtt64.dens1.ps}
Figure 12:Delay analysis of an RTT sample of the 2 Mbps environment by its density estimate arising from WVPinging in room 14.
\includegraphics[scale=0.24, angle=-90]{figures/rtt64.qq1.eps}
Figure 13:Delay analysis by a qq-plot arising from WVPinging with 64 byte payload in room 14.

It was the objective of the mobility experiments to investigate the impact of the varying transmission quality and the resulting burst errors on the delay-loss characteristic of the network layer and to identify the most sensitive and effective control signal of this parameter space. An MN attached to the AP in room 10b was moved with constant speed along the testbed beginning with a good regime in room 10b and stopping in the bad regime of 14 and then it was returned (see Fig. 7). The recorded RTT sample and its corresponding SNR values were correlated by post-processing resulting in a diagram depicted in Fig. 14.

\includegraphics[scale=0.24, angle=-90]{figures/wvping_move1024.eps}
Figure 14: Correlation of the RTT and SNR samples for an ICMP payload of 1024 byte and the behavior of the TCP congestion window (cwnd) for stream and on-off traffic of a moving MN in the 2 Mbps environment.

It illustrates that a description of the error behavior by a two-state automaton with a good-bad semantic, i.e. a Gilbert-Elliott model, depending on the SNR and IP frame length is sufficient to describe the transfer function of the DLC layer on a wireless link and to reconstruct the delay, loss and throughput performance of those PDUs generated by higher layers (cf. [10], [11]). In accordance with the transmission behavior of the WLAN card, an SNR threshold in the range of 12 to 15 dB depending on the frame length determines the boundary (see Fig. 14). Below that threshold the error-recovery function can partly correct the loss of MAC PDUs resulting, for instance, for an ICMP payload of 1024 byte in a moderate increase of the RTT from 16 to 35 ms. However, several losses cause severe recovery efforts and generate delays of 100 ms and more. Above the threshold all errors can be recovered and increase the experienced delay only by approximately 25 %. The same qualitative behavior is experienced independently of the frame length. Furthermore, we conclude from these experiments that a smart network and transmission protocol on top of IEEE802.11, e.g. an ECN adaptation of the TCP flow control with a qualified indication of the reasons of frame losses (cf. [12], [26]), would be able to adapt itself in a suboptimal manner to the profile of a wireless link depending on the distance to the AP. For this purpose, the transfer characteristic of the microcell could be learnt in a training sequence during the installation phase. The latter is only determined by the experienced (SIR, RTT) sample and the mean transferred frame length that may be signalled by TCP/IP and IEEE802.11 management functions. It can be further transferred to the adaptation component of the data-stream-management layer via the monitoring interface.
In several series of experiments while roaming within basic service areas created by the overlapping microcells we have investigated the performance of the resource reservation as well as the associated radio- and mobility-management functionalities of the LLC and MAC layers of IEEE802.11 compatible WaveLAN and the MIP network layer. First we have configured our testbed such that both APs belong to one subnetwork (see Fig. 7). Then the MN has been moved from room 10b down to 14 and back again causing two handoffs between the home and foreign network, respectively. During a handoff the MN has to release its association to the corresponding AP. Then it must set-up a new connection to the other AP. However, only LLC and MAC functionality of the WLAN are involved during these processes.

\includegraphics[scale=0.268, angle=-90]{figures/wvpRoam4088.eps}
Figure 15:RTT delay samples from WVPing with 4088 byte payload for roaming in a basic service area of the 2 Mbps environment.
Figure 16:Dynamics of the TCP congestion window subject to roaming in one basic service area for stream traffic patterns.

The delay analysis of the RTT samples for different ICMP frame lengths show that for short frames, e.g. with 64 byte payload, the disruption of the connection during a handoff between the two APs can be recognized and an increasing delay before the handoff due to the decaying signal level is experienced. For larger frames with 4088 byte payload depicted in Fig. 15, however, a fragmentation into at least 3 Ethernet frames and its associated MAC PDUs is required. In this case the LLC and MAC layers handle the latter and require on the used wireless link of the 2 Mbps setting approximately 20 ms instead of 0.9 ms. If the LLC is flooded by fragmented frames of WVPing, then the fast handoff can partly resolve the disruption of a connection and we experience only a slight and short degradation of the delay performance. However, as shown in Fig. 16, it is long enough to cause the TCP flow control to reduce its congestion window due to duplicate ACKs and time-outs and to restart the transmission after handoff within the slow-start phase despite of the good transmission regime. Here the on-off traffic pattern causes a slightly better performance than stream traffic as we already observed before. If the proposed (SIR, RTT) tuple is used as quality indicator, perhaps combined with a MAC notification mechanism and a persistent state of TCP flow control during handoffs, the typical degradation of the TCP congestion window and, hence, of the goodput can be relieved.
Considering the corresponding roaming experiments with a change of the subnetworks with two different foreign agents (see Fig. 9), we have moved the MN from its original position in room 10b and the associated AP to room 14 and the corresponding AP in 23 and back while the home agent resides on the host Deneb in the home network (see Fig. 7). The WVPing tool has again been used to monitor the quality of the connection for different payloads. Some results of the experiment with a payload of 2048 byte, for instance, are depicted in Figure 17. They illustrate that the changes of the foreign subnetworks by two handoff processes happen exactly at the sequence number 750 reaching the level 10 dB after passing a first descent to 8 dB and at 1596 on the rising signal path after dropping to 7 dB. At 1563 the MN already changed its AP association twice causing the extremely long spike of the RTT trace, but without loosing any additional PDUs. It indicates that a hysteresis type of handoff control, e.g. that used by GSM systems, is also required in IEEE802.11. However, despite perturbations of the round-trip times due to the low SIR in the handoff phase in both cases only the second change causes a quick increase of lost PDUs.
One may conclude that the recording of an isolated loss statistics is not sufficient as a trigger and control signal for the network, transport and resource adaptation layers if the SIR information of layer 2 is not available. The RTT statistics and the sharp deviation from average levels as seen in Fig. 17 provide a better and more sensitive indication of difficulties at the network layer. It can be used to the trigger adaptation procedures at the transport, resource management and application layers since the TCP window flow-control reacts sensitive on the degradation of the delay-loss characteristic of a transmission path (cf. [6], [11]).

\includegraphics[scale=0.36]{figures/snrrtt2048.eps}
\includegraphics[scale=0.36]{figures/rttloss2048.eps}
Figure 17:Correlation of SIR, RTT and the number of lost PDUs for a WVPing trace with 2048 byte payload in the 11 Mbps environment.

Similar roaming experiments with changes of the subnetworks were performed to study the impact of the MIP handoff functionality on the TCP/IP performance. First, the impact of roaming and link errors on the TCP and UDP throughput and its dependence on the emission patterns of flows has been investigated. We have continuously transferred packets of 2048 byte payload size from the host Mizar to the mobile station while roaming within both subnetworks. Typically traces are depicted in Figs. 18 and 19 for continuously emitted IP-PDUs of stream traffic. Regarding this stream pattern we see that there is a random fluctuation around the sustained throughput rate of approximately 5.5 Mbps in those periods of rare losses and constant delay whereas the throughput sharply drops down in high fluctuations with the shrinking congestion window before the handoffs occur. Draining effects of the buffers are reflected by high spikes of the throughput trace. Considering the data transport by UDP in Fig. 19, we realize the gradual degradation of the data rate received by the MN in comparison with the rate sent by the host due to the stepwise reduction of the sending rate of the WLAN card from 11 Mbps to 5.5, 2 and 1 Mbps, respectively, caused by the decreasing SIR along the signal path. As further illustrated by the sent and received sequence numbers in Fig. 19 this experiment reveals clearly the very limited realized throughput of 5.5, 2.8, 1.4 and 0.7 Mbps at the link layer under roaming conditions related to those transmission regimes, i.e. before the handoffs and their related packet losses occur at approximately 20 and 48 seconds, respectively.

\includegraphics[width=7cm]{figures/dbs-stream-throughput.ps}
\includegraphics[width=7cm]{figures/dbs-stream-delay.ps}
Figure 18:Relationship of the TCP throughput and delay for a traffic flows with stream pattern of a roaming MN in the 11 Mbps environment.
\includegraphics[width=7cm]{figures/udp-throughput.eps}
\includegraphics[width=7cm]{figures/udp-seqrs.eps}
Figure 19: Throughput and sequence numbering of UDP streams in the 11 Mbps environment under roaming conditions at 20 and 40 seconds.

To guarantee a seamless data transfer in these cases, the functionality of MIP has to be used. This means that the movement discovery function has to be applied to detect a change of the subnetwork and the attached AP. It relies on agent advertisement messages sent by the mobility agents or, in principle, on the active probing of the mobility agents by an MN issuing an agent solicitation message (cf. [25]). We have used the first scheme with the minimal feasible advertisement interval of 1 second resulting in a non-tolerable impairment of the TCP flow control during a handoff between microcells (see Fig. 18). An interworking of the IEEE802.11 roaming and notification mechanisms and the Mobile IP movement-detection functions was not applied in our implementation. It would be helpful but the standard does not enforce it. Of course, improved handoff procedures can mainly be achieved by the second scheme, e.g. eager or hinted cell switching, or a mobile-assisted procedure like in GSM using a pre- and simultaneous processing of the AP de-/attachment, of the care-of-address handling, and of the authentication mechanisms (cf. [17], [14], [21]).
Furthermore, we have carefully investigated the relationship between the flow-control mechanism, particularly the congestion-avoidance phase, and the emission pattern of packets arising from different real-time and Web data flows. The DBS tool has been used to generate real-time flows of IP packets according to a continuous flow pattern, e.g. emulating voice streams, called stream and an on-off pattern called stopngo emulating variable bit rate codecs of multi-media applications or non-real-time applications. Some results illustrating the dynamics of the TCP congestion window (cwnd) and the adjusting of the slow-start threshold (sstresh) are depicted in Fig. 20.

\includegraphics[width=7cm]{figures/dbsMipOnOffSSTCWnd.ps} \includegraphics[width=7cm]{figures/dbsMipStreamSSTCWnd.ps}
Figure 20:Relationship of the TCP congestion control and the emission pattern of traffic flows for on-off traffic and stream traffic of a roaming MN in the 11 Mbps environment.

We see that on-off traffic does not suffer as much as stream traffic since link errors that delay the delivery and acknowledgement processes of IP packets may coincide with silence phase of the emitting traffic source. Therefore, the mean window size of the TCP flow-control scheme will increase and the variance will decrease for on-off traffic flows. Moreover, we see how the slow-start threshold that controls the incation of the congestion-avoidance scheme if the condition cwnd > sstresh holds recovers together with the congestion window. If the TCP mechanism would be modified to identify the source of PDU delay or loss, the recovery mechanism could obviously be improved. In case of the stopngo pattern and in most cases of the stream pattern, apart from the very long handoff delays, the PDU losses due to long transfer delays and errors cause a dropping of the slow-start threshold. It could be avoided if timeouts were turned into duplicate acknowledgements that invoke the fast retransmit and recovery procedures in TCP flow control or into acknowledgements (cf. [27]). It is remarkable how well the congestion window opens after errors for the on-off (stopngo) flows.
These cases clearly illustrate the potential of an improved explicit congestion-notification (ECN) scheme combined with TCP or of an improved TCP round-trip time and session statistic for each link. The latter can be determined by a statistical evaluation of information stored in the TCP control block and it may be signalled during a handoff to the new site. In conclusion we realize that Web applications should always generate on-off patterns of IP flows to relieve the impact of link errors on TCP flow control and to improve the TCP goodput.


nextupprevious
Next:ConclusionsUp:Realization of our conceptPrevious:Description of the testbed
Bachmann

2002-02-21