Fifth International World Wide Web Conference
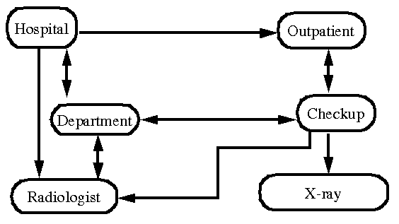
A French Hospital Information System
Only described by IDL interfaces
Implemented with C++ or database
CorbaWeb: A Generic Object Navigator
(P.Merle,C.Gransart,JM.Geib)