Traditional link analysis approaches used in web retrieval only apply to rank hyperlinked web pages. This paper introduces the notion of semantic-linked network consisting of semantic links and semantic components, and proposes an approach for ranking the semantic-linked network, which effectively quantifies the semantic importance of semantic components.
Link analysis, ranking algorithm, semantic component, semantic link
The current web is based on the HTTP and HTML. The Semantic Web extends the current web by making the web resources machine-understandable [3]. Markup languages like XML [1], OIL [2], DAML [4] have been suggested by the semantic web community. Other efforts towards the next-generation web include the Grid (http://www.gridforum.org), the emerging Semantic Grid [6] and Knowledge Grid (http://kg.ict.ac.cn). Different from direct semantics expression of web resources, we suggest a set of semantic links to describe the semantic relationship between relevant resources: 1) Cause-effect link (C1¾ce→C2): C1 is the cause of C2; 2) Implication link (C1¾imp→C2): the semantics of C1 implies that of C2; 3) Subtype link (C1¾st→C2): C2 is a part of C1; 4) Similar-to link (C1¾(sim, sd)→C2): the semantics of C2 is similar to that of C1, and sd is the similarity degree; 5) Instance link (C1¾ins→C2): C2 is the instance of C1; 6) Sequential link (C1¾seq→C2): the content of C2 is successor of that of C1; 7) Reference link (C1¾ref→C2): C2 is further explanation of C1; 8) Undefined link (C1¾und→C2): there is no obvious semantic relationship between C1 and C2 [7]. Semantic links can be inexact (C1¾(L, cd) → C2): L is some semantic link; cd is the certainty degree of semantic relationships between resources C1 and C2.
A semantic component is a network consisting of arcs of semantic links and small granularity semantic components. Basic semantic component element could be all kinds of e-files like text and images. Semantic-linked network consists of semantic-linked semantic components. Software tool able to mark semantic links in a plain text has been implemented. Users can use ordinary browsers to browse the semantic-linked network.
How to differentiate the importance of the semantic components in the semantic-linked network becomes an important issue when browsing and searching the network. Traditional Web search engines employs hyperlink analysis approach and ranking algorithms (such as the PageRank algorithm [5]) to enhance the effectiveness of web page retrieval by sorting the retrieval results according to rank order. This paper proposes an algorithm similar to PageRank to rank the semantic components in the network.
Semantic link structure reflects the relevance among semantic components,
just as hyperlink structure reflects the relevance of current web pages.
Naturally we refer to link analysis to solve the ranking issue of the
semantic-linked network. But in PageRank, every web page has only one rank
dealing with hyperlinks. In the semantic-linked network we must consider
multiple semantics expressed by different types of semantic link. For a semantic
component, we compute eight individual L-ranks, dealing with different L-links
respectively. L-rank is computed by algorithm similar to PageRank: the L-rank
of a component is evenly distributed among all components it points to via L–link.
To give an overall rank, T-Rank is computed as follows: select link types
that need to compute L-rank, assign each chosen L-rank a weight wL
according to semantic priority rule: ref £
ins £
st £
imp £
ce, then sum up all chosen L-ranks proportionally according to wL.
Let C, D be components, SL = {ce, imp, st,
ref, ins, sim, seq, und},
be the set of components C points to by L-link and
be the set of components that point to C by L-link.
is the sum of certainty degree of all L-links from C. βL
(or β) is a factor for normalization. L-rank (RL(C))
and T-Rank (R(C)) of C are defined as formula (1)
and (2):
Experiments demonstrate that the proposed algorithm has the convergence
properties. Figure 1 shows the mean number of iterations of L-Rank and
that of PageRank based on link databases with the same link structure: As number
of links increases L-Rank algorithm converges faster whereas PageRank
algorithm converges slower though their convergence curves both tend to become
smooth; L-Rank algorithm converges slightly slower than PageRank
based on the same link structure. The main cause is semantic links refine the
hyperlinks by adding semantic certainty degree.

Figure 1. Convergence properties comparison between L-Rank and PageRank.
To improve the L-Rank algorithm and obtain better ranking results, we employ any of the following four filtering methods to pre-treat semantic-linked network: Method 1 groups components by topics or subjects and filters those components not belonging to the specified category. Method 2 filters irrelevant semantic links by matching anchor text of link with keywords of query, thus semantic links irrelevant to keywords are abridged in a mass. Method 3 applies Method 1 first and then Method 2 next. Method 4 applies Method 2 first and then Method 1 next.
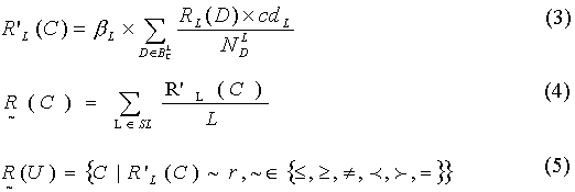
To meet
needs of users’ personal interests, we further propose a personalized ranking
algorithm where fuzzy-set rank (defined as formula (3) and

The relationship between the proposed ranking algorithms and filtering methods is illustrated in Figure 2. L-Rank is the basic algorithm to compute the individual rank based on L-link. T-Rank and Fuzzy-set Rank are two description forms of rank. By taking into account users’ personal view, Personalized Rank is the refinement of Fuzzy-set Rank. Methods 1 – 4 are used to reduce the number of semantic components and links for ranking.

Figure 2. Relationship between ranking algorithms and filtering methods.
Traditional link analysis approaches are based on the current web. The approach we propose is based on the semantic-linked network, which establishes semantic interconnection among resources. Semantic components and semantic links contain richer semantics than the HTML web pages and the simplex hyperlinks.
This paper introduces the notion of semantic-linked network to extend the current hyperlinked web. The network is composed of semantic components and semantic links, and a semantic component can be also a semantic-linked network. An effective approach for ranking the semantic-linked network is proposed. The approach consists of the basic ranking algorithm, the personalized ranking algorithm based on fuzzy-set rank representation, and the methods for filtering semantic components and semantic links. Ongoing work includes setting more rational evaluation criteria for components evaluation and optimizing the ranking algorithms to get better performance.