An Effective Complete-Web Recommender System
Tingshao Zhu Russ
Greiner
{tszhu, greiner}@cs.ualberta.ca
Department of Computing Science
University of Alberta
Canada T6G 2E1
Gerald Häubl
Gerald.Haeubl@ualberta.ca
School of Business
University of Alberta
Canada T6G 2R6
Abstract:
There are a number of recommendation systems that can suggest the webpages,
within a single website, that other (purportedly similar) users have visited.
By contrast, our ICPF system can recommend pages anywhere
in the web; moreover, it is designed to return ``information content''
(IC) pages --
i.e., pages that contain information relevant to
the user. In a training phase, ICPF first uses
a collection of annotated user sessions (whose pages each include a bit
indicating whether it was IC) to learn the characteristics of words that
appear in such IC-pages, in terms of the word's ``browsing features'' over
the preliminary subsession (e.g., did the user follow links whose
anchor included this word, etc.).
This paper describes our ICPF system, as well as
a tool (AIE) we developed to help users annotate their
sessions, and a study we performed to collect these annotated sessions.
We also present empirical data that validate the effectiveness of this
approach.
Introduction
While the World Wide Web contains a vast quantity of information, it is
often difficult for web users to find the information they really want.
This paper presents a recommendation system, ICPF,
that identifies ``information content'' (IC) pages -- i.e.,
pages the user must examine to accomplish her current task. Our system
can locate these IC-pages anywhere in the Web.
Like most recommendation systems, our ICPF watches
a user as she navigates through a sequence of pages, and suggests pages
that (it hopes) will provide the relevant information [13,14].
ICPF differs in several respects. First, as many recommendation
systems are server-side, they can only provide information about one specific
website, based on correlations amongst the pages that previous users have
visited. By contrast, our client-side ICPF is not
specific to a single website, but can point users to pages anywhere
in the Web. The fact that our intended coverage is the entire Web leads
to a second difference: support. As any single website has a relatively
small number of pages, a website-specific recommendation system can expect
many pages to have a large number of hits; it can therefore focus only
on these high support (read ``highly-visited'') pages. Over the entire
WWW, however, very few pages will have high support. Our system must therefore
use a different approach to finding recommended pages, based on the users
abstract browsing patterns; see below. The third difference deals with
the goal of the recommendation system: Many recommendation systems first
determine other users that appear similar to the current user B,
then recommend that B visit the pages that other similar
users have visited. Unfortunately, there is no reason to believe that these
correlated pages will contain information useful to B. Indeed,
these suggested pages may correspond simply to irrelevant pages on the
paths that others have taken towards their various goals, or worse, simply
to standard dead-ends that everyone seems to hit. By contrast, our goal
is to recommend only ``information content'' (IC) pages;
i.e., pages
that are essential to the user's task. To determine this, we first collected
a set of annotated web logs (where the user has indicated which pages are
IC), from which our learning algorithm learned to characterize the IC-page
associated with the pages in any partial subsession. On seeing a partial
session, our ICPF will then recommend only the associated
IC-pages.
Overview of ICPF
Our goal is to help the user find ``IC-pages'' -- i.e., pages that
the user must examine to accomplish her task. This is clearly relative
to her current information need; we estimate this from her current click-stream,
based on properties of the words that appear there. That is, imagine
the user has examined the URLs in the sequence (U1, U2,
..., U7), and observed that the word ``workshop'' appeared
in each of the 4 most recent pages. Moreover, U5 contained the
results of a Google search (see Figure 6),
which the user followed to U6 (which is ``Workshop Home
Page''). Here, we observed that the title and snippet around U5
also contained ``workshop''. We would associate the word ``workshop'' with
the ``browsing properties'' that it appeared in (1) all 4 recent pages,
(2) a result's title and (3) a snippet that was followed.
Our ICPF can use this browsing information to help
determine IC-pages as it has earlier learned a model of user browsing patterns
from previous annotated web logs (defined below). In particular, imagine
it had learned that
|
|
If the word w appears in at least 2 recent pages,
and w appears in a snippet that was followed,
then w will tend to appear in IC-pages. |
(1) |
Given this rule, ICPF would assert that ``workshop''
is likely to be an IC-word --
i.e., a word that appears in
an IC-page. ICPF would similarly compute browsing
properties for essentially all of the words that appear in any of the pages
(U1, ..., U7), and then use this model
to predict the user's current information need: a list of word-probability
pairs {(w, p(w))}, where p(w) estimates
the probability that the word w will be an IC-word. It presents
such information to the user; see the top portion of Figure 1.
The check-boxes allow the user to identify which of the suggested words
are actually part of her current information need. This figure shows two
ways that ICPF could use this information: First,
it could ``scout ahead'': follow the outward links from the current page
(recursively, in a breadth-first fashion) seeking pages that include many
of these IC-words. It would then recommend such IC-word-rich pages to the
user. Alternatively, ICPF could send an appropriate
query to a search engine (e.g., Google), then possibly scout forward
from the pages returned. Our companion paper [20]
discusses this issue in greater depth; it also considers whether these
browsing-patterns are specific to individuals.
|
Figure 1: ICPF: IC-page
Prediction
Outline
To build our ICPF system, we need client-side information,
in the form of annotated web-logs: the sequence of webpages that
users have visited, together with an ``IC'' label for each page: was this
paper an IC-page or not? We use this data to train our ICPF,
and later in our experiments, to verify that ICPF
in fact worked effectively.
N.b., our performance system does not
require the user to explicitly label pages as IC or not; this is done only
from a control population, during the training phase.
Section 2 describes the client-side tool, AIE,
that we developed for collecting this training data.
AIE
allows the user to explicitly indicate which pages were IC-pages for her
specific current task. This section also describes the empirical study
we ran to collect the data.
Section 3 shows how ICPF uses this collected information
to learn an IC-word classifier: Given the user's current click stream,
this classifier will predict which words will be in the IC-page. Here we
discuss some challenges of dealing with this imbalanced dataset and show
the results on this task. Section 4 evaluates this method, and shows that
our ICPF works fairly well.
As mentioned above, there are many recommender systems that perform
a related task. Section 5 discusses the most relevant of these systems,
and describes how they differ from our objectives and approach.
AIE and Empirical Study
Specific Task
To help us determine which pages are IC --
i.e., contain information
the user requires to complete her task -- we first collected a set of annotated
web-logs: each a sequence of webpages that a user has visited, and
labeled with a bit that indicates whether she considered this page to be
IC. We enlisted the service of a number of students (from the School of
Business at the University of Alberta) to obtain these annotated web-logs.
Each participant was asked to perform a specific task:
-
Identify 3 novel vacation destinations -- i.e., places you have
never visited.
-
Plan a detailed vacation to each destination specifying travel dates,
flight numbers, accomodation (hotels, campsite, ...), activities, etc.
Each participant was given about 45 minutes, and given access to our augmented
browsing tool (AIE; see Section 2.2), which recorded
their specific web-logs, and required them to provide the ``IC-page'' annotation.
The participants also had to produce a short report summarizing the vacation
plans, which needed to explicitly cite the specific webpages (``IC-pages'')
that were involved in these decisions; here AIE made
it easy to remember and insert these citations. To help motivate subjects
to take this exercise seriously, we told them that two (randomly selected)
participants would win $500 to help pay for the specific vacation they
had planned.
|
Figure: The AIE Browser
(top portion)
We chose this specific task as
-
It represents a fairly standard way of using the web
-
It was goal-directed, in contrast to simply asking the participants to
``meander about the web''
-
The contents of many travel websites are fairly constant
-
A diverse set of web-pages may be relevant -- flight schedules, travel
brochures, recent news (terrorist attacks), ...
-
It is easy to motivate students to do this task, as they will get a chance
to actually go on this trip
The task is fairly well-defined and delimited
AIE: Annotation Internet Explorer
To enable us to collect the IC information, we built an enhanced version
of Microsoft Internet Explorer, called AIE (shown
in Figure 2), which we installed on all computers
in the lab we used for our study. As with all browsers, the user can see
the current web page. This tool incorporates several relevant extensions
-- see the toolbar across the top of Figure 2.
First, the user can declare the current page to be ``important'' (read
``IC''), by clicking the Important button on the top bar. When doing
this, AIE will pop up a new window (Figure 3)
that shows this URL, and two fields that allow user input: a mandatory
field requiring the user to enter an alias for this page (e.g.,
``AirCanada Edmonton-Beijing ticket prices'') and an optional field for
writing a short description of why this page was important (e.g.,
``the URL is relevant as it gives the cost of the plane tickets'').
The History button on the toolbar brings up the side-panel (as
shown in Figure 2), which shows the user the
set of all pages seen so far, with a flag indicating which pages the user
tagged as IC (important). The user can click on one of these to return
to that IC-page; she can also reset its ``importance'' designation.
The Report button will switch fom the ``Browse view'' to the
``Report editor'', which participants can use to enter their report. Here,
each subject has access to the pages she labeled as important during her
browsing, which she can use in producing her report. (In fact, the participant
can only use such pages in her report.)
After completing her report, the user can then submit her entire session
using the Submit button. This sends over the entire sequence of
websites visited, together with the user's ``IC-page'' annotations, as
well as other information, such as time-stamps for each page, etc.
|
Figure:AIE PopUp Window,
used to declare a page as ``IC''
Features of the Annotated Web Log Data
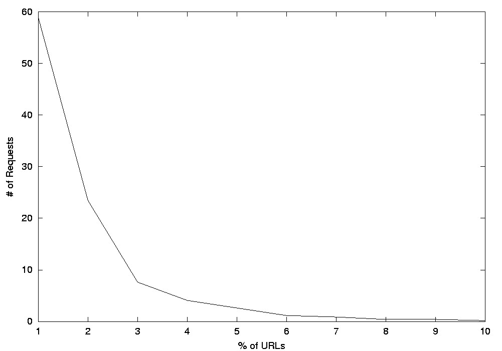
Collectively, the 129 participants in the study requested 15,105 pages,
and labeled 1,887 pages as IC, which corresponds to 14.63 IC-pages per
participant. This involved 5,995 distinct URLs, meaning each URL was requested
2.52 times on average. Of these, 3,039 pages were search pages (from 11
different search engines); if we ignore these, we find that each non-search-engine
page was visited only 2.02 times on average. Figure 4
shows how often each page was visited; notice 82.39% of the URLs were visited
only one or two times.
|
Figure 4: Frequency of URLs
Clearly very few URLs had strong support in this dataset; this would
make it very difficult to build a recommendation system based on only correlations
across users in terms of the pages they visit. (See Section 5.)
Learning Task
As motivated above, we are seeking general patterns that describe how the
user locates useful information (IC-pages). For reasons described above
(see also Section 5), these patterns are not based on a specific set of
pre-defined words, but rather on the user's observable behavior in response
to the information within the pages visited -- i.e., how the words
contained in these pages influence her navigation behavior. For example,
if she follows a hyperlink to a page, but later backs up, this suggests
that the snippet or anchor around the hyperlink contains words that seem
very relevant (think ``IC-words''), but the content of the page itself
does not satisfy her information need.
We therefore collect this type of information about the words -- how
they appeared on each page, and how the user reacted. This is based on
our assumption that there are general models of goal-directed information
search on the web -- some very general rules that describe how users locate
the information they are seeking. If we can detect such patterns, and use
them to predict a web user's current information need, we may provide useful
content recommendations.
The previous section describes the source of our basic training data
-- annotated web logs. This section shows how we use that data to build
a classifier for characterizing which words will appear in the IC-page.
The first step (Section 3.1) is to segment each user's complete clickstream
into a set of so-called IC-sessions -- each of which is a sequence
of pages that ends with an IC-page. Section 3.2 discusses some techniques
we use to clean this data. Within each IC-session, we extract all the words
in the preliminary non-IC-pages, then collect various ``browsing features''
of each word (see Section 3.3). By examining the associated IC-page, we
also label each such word as an IC-word or not. Section 3.4 shows how our
ICPF uses this information to train a classifier to
predict when a word will be an IC-word.
IC-session Identification
Each user will be pursuing several different information needs as she is
browsing. To identify and distinguish these needs, we must first separate
the pages into a sequence of ``IC-sessions'', where each such IC-session
pertains to a single information need. In general, each IC-session is a
consecutive sequence of pages that ends with an IC-page, or the end of
the user's entire session.
Chen et al. [3,4] terminated
each session on reaching a Maximum Forward Reference (MFR) --
i.e.,
when the user does not follow any outlinks from a page. Of course, these
final MRF pages need not correspond to IC-pages. Cooley et al. [6]
used time-outs to identify sessions: if the time between consecutive page
requests is greater than a threshold, they assume that a new session has
started. While the fact that a user remained at a single page may suggest
that that page could be IC, there could also be other reasons. Note that
neither set of authors claims that these final pages addressed the user's
information need, and so they provide no evidence that these pages were
IC-pages.
In our case, since we focus on goal-directed browsing, we terminate
a session on reaching an IC-page. However, it is not clear that the next
session should begin on the subsequent page. For example, imagine reaching
an index page I after visiting a sequence of pages A->B->C->I,
and moreover, I contains a number of useful links, say I->P1
and I->P2, where both P1
and P2 are ICs. Here, each IC-session should
contain the sequence before the index page since they also contribute to
locating each of the IC-pages -- i.e., given the browsing sequence
A->B->C->I->P1->I->P2,
we would produce the two IC-sessions A->B->C->I->P1
and A->B->C->I->P2.
To identify meaningful IC-sessions, we used the heuristic that if the
page after an IC-page is a new search query, then a new session starts,
since it is very common that when one task is done, users will go to a
search engine to begin the next task. Figure 5
summarizes our IC-session identification algorithm.
 |
Figure 5:ICSI Algorithm
Data Cleaning
Our system parses the log files to produce the sequence of pages that have
been downloaded. Unfortunately some of these pages are just advertisements,
as many web pages will launch a pop-up ad window when they are loaded.
As few of these advertisement pages will contribute to the subject's information
needs, leaving them in the training data might confuse the learner. We
therefore assembled a list of advertisement domain names, such as: ads.orbitz.com,
ads.realcities.com,
etc. We compare each URL's domain name with the ad server list and ignore
a URL if it is in the list.
We defined each IC-session as composed of pageviews, where a
pageview is what the user actually sees. In the case of frames, a pageview
can be composed of a number of individual URLs. When a frame page is being
loaded, all of its child pages will be requested by the browser automatically;
and thus instead of recording only the frame page in the log file, all
of its child pages will be recorded too. This is problematic when the participant
browses within a frame page.
Finally, while we did record the time information, we were unable to
use it in the learning process. This is because many subjects switched
modes (to ``Report mode'') on finding each IC-page, which means that much
of the time between requesting an IC-page and the next page was not purely
viewing time, but also includes the time spent writing this part of the
report. Unfortunately, we did not anticipate this behavior, and so we did
not record the time spent in Report mode.
Attribute Extraction
We consider all words that appear in all pages, removing stop words and
stemming, using standard algorithms [15].
We then compute the following 25 attributes for each word wi,
from each IC-session: (In all cases, if the URL refers to a frame page,
we calculate all the following measures based on the page view.)
Search Query Category
As our data set includes many requests to search engines, we include several
attributes to relate to the words in the search result pages.Each search
engine will generate a list of results according to the query, but the
content of each result may differ for different search engines. We consider
only information produced by every search engine: viz., the
title (i.e., the first line of the result) and the snippet (i.e.,
the text below the title). For example, in Figure 6,
the title of the first result is ``Workshop Home Page'', and its snippet
is ``Workshop on Web Mining April 7, 2001 on all aspects of Web mining.
...''.
We tag each title-snippet pair in each search result page as one of:
Skipped,
Chosen,
and Untouched. If the user follows a link, the words in its title
and snippet will be considered ``Chosen''. The words that appear
around the links that the user did not follow, before the last chosen one,
will be deemed ``Skipped'', and all results after the last chosen
link in the list will be ``Untouched''. Figure 6
shows 2 ``Skipped'', 2 ``Chosen'', and 1 ``Untouched'' results. Notice
this corresponds to several visits to this search result page: The second
entry ``Web Mining'' is the first one followed; the user later clicks back
to the search page, and chooses the fourth entry, ``The Data Mining Group''.
Also, for pages in general, we say a hyperlink (in page U)
is backed if the user followed that link to another page, but went
back to page U later. A page is backward if that page
has been visited before; otherwise we say a page is forward.
|
Figure 6: Title-Snippet State in the Search
Result Page
The actual features used for each word w appear below.
Each is with respect to a single IC-session. Notice that most have numeric
scores and many are simple integers --
e.g., how many times w
is in some specified category.
-
[isKeywordCnt] Number of times that w appeared within the
query's keyword list.
-
[skippedTitleCnt] Number of skipped titles containing w.
-
[skippedSnippetCnt] Number of skipped snippets that contain w.
-
[chosenTitleCnt] Number of chosen titles that include w.
-
[chosenSnippetCnt] Number of chosen snippets that include w.
-
[untouchedTitleCnt] Number of untouched titles that include w.
-
[untouchedSnippetCnt] Number of untouched snippets that include w
-
.
[unknownCnt] Number of times that w appears in the anchor
of a chosen link that is not one of the listed results -- e.g.,
when the user clicks the hyperlink in the advertisement area. [bkTitleCnt]
Number of chosen titles that include w, but where the user
later goes back to the same search result page, presumably to try another
entry there. In Figure 6, the ``Web Mining''
entry is backed, as the user then went back to go to ``The Data Mining
Group''. [bkSnippetCnt] Number of chosen snippets that include w
but were later ``backed''.
Sequential Attributes
All the following measures are extracted from the pages in an IC-session
except the search result pages and the last IC-page. We also compute the
``weight'' of each word w, in each page, as weight(w)=SUMj(Nj(w)*vj),
where Nj(w) denotes the number of occurences
of w in the jth ``HTML context''
[17]: and vj is the weight
associated with this context, shown as
 |
(2) |
[ratioWordAppearance] Number of pages containing w
divided by number of pages.
[avWeight] Average weight of w across the whole
IC-session.
[varWeight] w's weight variation across the whole
sequence.
[trendWeight] The trend of the word's weight in the whole sequence:
{
ascend, descend, unchanged }. If the word's weight becomes higher along
the IC-session, it is expected to be IC-word with high probability.
[ratioLinkFollow] For the hyperlinks whose anchor text contain
w,
(followed hyperlinks whose anchor text contain w)/ (hyperlinks
whose anchor text contain w). [ratioFollow] How often
w
appeared in the anchor text of hyperlinks that followed -- (number of followed
hyperlinks whose anchor text contain w) / (length of IC-session
- 1).
[ratioLinkBack] For the clicked hyperlinks whose anchor text
contain w: (number of hyperlinks that were backed later)
/ (number of hyperlinks followed). [ratioBackward] For these pages
that contain w, (number of pages that are revisited) / (number
of pages).
[avWeightBackward] The average weight of w in
the backward pages. [varWeightBackward]The variance of w's
weight in the backward pages.
[ratioForward] For the pages that contain w, (number
of pages that are forward) / (number of pages).
[avWeightForward] The average weight of w in the
forward pages.
[varWeightForward] The variance of w's weight
in the forward pages.
[ratioInTitle] For those pages that contain w
, (number of pages that contain w in the title) / (number
of such pages).
[ratioInvisible] For these pages that contain w,
(number of pages where w is invisible) / (number of pages).
We only count the words in META tags (keyword & description) as invisible.
For each word w in an IC-session, we compute each of these
attributes, and also indicate whether w appears in the IC-page
or not. Figure 7 shows the feature vectors for
some words. We summarize the browsing properties of all the words along
the entire IC-session, with the goal of anticipating what the user is seeking.
(Hence, this differs from simply summarizing a single page [19].)
Note that when we train the classifier, we do not use the words themselves,
but instead just these attribute values and whether the word appears in
the IC-page.
|
Figure 7: Feature Vector for some Extracted
Words
IC-word Prediction
After preparing the data, ICPF used Weka [18]
to produce a NaïveBayes (NB) classifier. Recall that NB is a simple
belief net structure which assumes that the attributes are independent
of one another, conditioned on the class label [7].
NB also runs fast, and acquires the best performance compared to other
classifiers, such as decision tree and Support Vector Machines (SVM). To
deal with continuous attributes, we use estimation [8]
instead of discretization [11], as we found the former
works better.
Empirical Results
Section 4.1 first provides a simple way to evaluate the quality of our
predictions, determining whether we can predict the words on the IC-page
based on the entire prior sequence. Section 4.2 then extends this to the
general case; determining whether we can predict the IC-words well before
then.
To train the classifer, we first identify IC-sessions (Figure 5),
then extract the browsing properties of all the words in the IC-session
except the last page, i.e., the IC-page. We use that final page
to label each word as either IC or not. The classifier can then be trained
to predict which words are IC-words given their browsing properties.
Note that the performance system does NOT require that the user annotate
the webpages; this was just done in the training phase. However, if
the user is willing to do this labelling (i.e., use AIE),
we could hone the system to the nuances of the current user, and obtain
superior results (compared to a generic system, based on only the base
population of users.)
Simple Evaluation
According to the labelled log data, only 12.5% of the pages were IC. Moreover,
the number of non-IC-words is far greater than that of IC-words. To deal
with this imbalanced dataset, we have tried both down-sampling [12]
and over-sampling [9], and found that down-sampling
produced more accurate classifiers than over-sampling. (E.g., it
produced about 20% higher recall of IC-word prediction than over-sampling.)
We then randomly selected an equal number of positive (IC-word) and negative
(Non-IC-word) instances as testing data, then generated our training data
from the remaining data by randomly removing negative instances until obtaining
a number equal to the number of positive instances.
For each IC-session U=(u1, u2,
u3,
..., uN), where uN is the only
IC-page, we let UN-1=(u1,
u2,
u3,
..., uN-1) be the preliminary non-IC-pages. In general,
let W(U) be all the words in the set of pages
U.
For each R=2,3,...10, we randomly selected 20 different
groups of size R from the set of participants. Note that
we allowed overlap among these 20 groups. For now, we restrict our attention
to only those sessions with W(uN)«W(UN-1)
-- i.e., where all words that appeared in the IC-pages occur somewhere
inUN-1.
For each of these 9x20 groups, we call the recommendation function
on UN-1 to generate the word set predicted as
IC-words, which we denote as (UN-1). (These are
the words w«W(UN-1) whose
posterior probability of being an IC-word is greater than 0.5.)
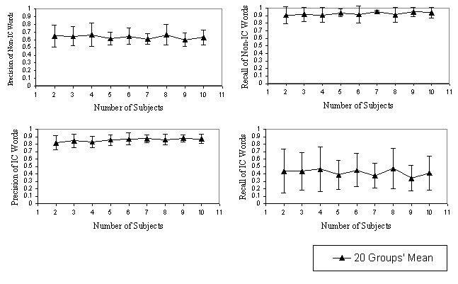
We computed four quantities for each group -- precision and recall,
for both IC-words and non-IC-words:
![\begin{displaymath}\begin{array}{lcl}\hbox{ICprecision}(U)& =&\frac{\vert\WP......1})}\vert}{\vert\overline{W(U_{N-1})}\vert}\\ [2ex]\end{array}\end{displaymath}](./p718-tszhu-precall.png) |
(3) |
where NOT(W(.)) is the obvious complement.
We built 10-fold training/testing datasets for each of the 9x20
groups, and computed the median value of these 9 results for each of the
4 quantities. (We computed the median as it is less sensitive to outliers
than the mean.)
|
Figure 8: Non-IC and IC-word Prediction
Results
The results appear in Figure 8. The very high
precision and recall, in some cases, suggest that there is some commonality
across users, which our algorithm is finding. Notice this is not based
on one website or a specific set of words, but rather on how web users
find useful information. This high level of generality means our model
can be applied to different websites and different users. (Our companion
paper [20] discusses the single-user case, which
shows that information learned from a single user can be helpful to that
user.)
Even though the average recall of IC-words is about 45%, this is still
good enough to find IC-pages, which of course is our ultimate goal. Section
1 presented two methods that ICPF can use to locate
IC-pages given IC-words. ICPF can scout ahead to find
the IC-pages that match the predicted IC-words; knowing 45% of the words
on that page makes it easy for the scout to correctly identify the page
based on its content, or at least some pages very similar to it. Alternatively,
ICPF might try to build search queries from the predicted
IC-words. Given the high precision of our IC-word prediction, even with
recall around 45%, we can anticipate finding tens of words which will surely
be in the IC-page. Since the predicted IC-words are exclusive of stop words,
they will be quite relevant to the IC-page's content. We therefore suspect
that a query with these relevant words will help retrieve the relevant
IC-page. (We are currently exploring these, and other ways to find IC-pages
from IC-words.)
General Evaluation Method
Clearly a good recommendation system should predict all-and-only the IC-pages.
It would also be useful to predict these pages early --
i.e.,
it is better to recommend the IC-page
u7 after
the user has traversed only (u1, u2),
rather than wait until the user has visited all of (u1,
u2, u3, ..., u6), as this would
save the user the need to visit the 4 intervening pages. We therefore define
an evalution method based on these two objectives.
For each session U=(u1, u2,
u3, ..., uN) of length N (where
uN
is the IC-page), there are N-1 initial subsessions, where
each subsession Ul=(u1, u2,
..., ul) is the first consecutive l pages,
for 1«l«N.
We will call the recommendation function on each subsession Ul
to generate a propsed set of IC-words, (Ul). We
extend Equation 3 to be
We then define the following F-Measure [16]
|
Figure 9: Evaluation Specification
Using the fact that the distance between ul and
uN
is N-l (see Figure 9), we finally
define
The
term basically penalizes the system for being silent; here we used -0.05.
Notice this score(.,.) increases the earlier the system can make
a prediction, provided that prediction is accurate (based on the F-measure).
We divide by the number of predicted words|(Ul)|
to discourage the system from simply suggesting everything.
For each IC-session U, let
be the overlap between the words in the IC-page and the words in the
other pages. (Notice coverage(U)=1 corresponds to
the
condition mentioned earlier.)
We randomly select 90% of the IC-sessions as training data, and use
the others for testing. For each testing IC-session, we calculate the average
score
over all subsessions, provided there were any recommendations. (That is,
we provide no recommendation if our system finds no word qualifies as an
IC-word.) We then compute the average score for all testing IC-sessions
as the final score for this trial. Figure 10
graphs this information, as a function of the coverage. We find that in
most cases, while the coverage increases, W(UN-1)
grows very fast, which is the main reason that the score gets worse.
We compare our method with two other very simple techniques: let the
IC-words be (1) all words in the subsession (Ul),
or (2) all feature words, which are those words enclosed by some specific
HTML tags, such as ``a'', ``title'', ``b'', ``h1'', etc. Figure 10
shows that our approach did significantly better.
As a final observation about these data: When we compared the training
data with the associated testing data, we found that only 30.77% of IC-pages
in the testing data appeared anywhere in the training data; and that the
average support for these in-training IC-pages is only 0.269. This is why
we cannot use standard recommendation systems that only use page frequency:
about 70% of the IC-pages would never be recommended, and even for the
remaining 30%, there is only a small chance that they would be selected
as recommendations; see below.
|
Figure 10: Evaluation Result
Related Work
Many groups have built various types of systems that recommend pages to
web users. This section will summarize several of those systems, and discuss
how they differ from our approach.
Our system is seeking the web pages that provide the information that
the user wants --
i.e., that satisfy the user's Information Need.
Chi et al. [5] construct Information Need from
the context of the hyperlinks that the user followed, and view it as the
information that the user wants; this appears very similar to our approach.
However sometimes the context of the hyperlink gives only some hints for
the destination information, but not useful information (e.g., ``click
here''). Moreover, there is no reason to believe that the context around
the followed hyperlink is sufficient to convey the user's intention; notice
this does not consider the hyperlinks that are skipped, nor when the user
backed up, etc. By contrast, our approach is based on the idea that some
browsing properties of a word (e.g., context around hyperlinks,
or word appearing in titles or ...) indicate whether a user considers a
word to be important; moreover, our system has
learned this from
training data, rather than making an ad-hoc assumption.
One model, by Billsus and Pazzani [2], trained
a NaïveBayes classifier to recommend news stories to a user, using
a Boolean feature vector representation of the candidate articles, where
each feature indicates the presence or absence of a word in the article.
That model used a set of words that were hand-selected to ensure
that they covered all the topics in these articles. Their research, however,
provided no explicit feedback from the subject; instead they only inferred
the interestingness of the news story from the listener's actions, such
as channel changes. Moreover, their use of hand-selected words poses two
problems: First, it places a burden on the user (or system developer) to
provide these words. Second, it is difficult to guarantee that the selected
words can cover all possible articles -- i.e., it is not clear the
trained model would be able to make predictions if the user began visiting
a completely different set of WWW pages or news stories.
Jennings and Higuchi [10] trained one neural
network for each user to represent a user's preferences for news articles.
For each user, the neural network's nodes represent words that appear in
several articles liked by the user and the edges represent the strength
of association between words that appear in the same article.
In our research, we also view IC prediction as a classification task,
but instead of building our model based on some pre-specified words, our
model is based on ``browsing features'' of the words, such as how many
times the word is in the hyperlink's anchor text, how many times the word
is in the search keyword list, etc.; see Section 3.3. After training, our
system may find some patterns like ``any word that appears in the three
consecutive pages will be in the IC-page'; see also Equation 1.
Note this is different from systems that produce association rules [1]
-- e.g.,
If a user visits page H,
then she will also examine page J.
as those association rules can only predict pages that have been seen;
note we can apply our system to make predictions about pages that have
not been visited.
|
Figure 11: NaïveBayes Models for (a)
IC-page Identification using Specific Words; (b) IC-word Identification
using Word Features (our approach)
Our approach is also different from systems that involve a set of predefined
words -- e.g.,
After observing a sequence U
If "web"«W(U) with weight 0.9, and
"software"«W(U) with weight 0.8, ...,
then page T may be interesting.
We are not looking for patterns based on specific words or only for specific
users, but rather for more general patterns across different sessions and
different people, which we expect to be useful even in a new web environment.
Figure 11 shows the difference between IC-page
prediction based on specific words and our method based on word features.
Our research identifies ``Information Need'' with the distribution over
IC-words, which relates to the words that will be in the IC-page. Some
other systems define the user's information need as a learned combination
of a set of (possibly pre-defined) words --
e.g., a NaïveBayes
model [7] that classifies each webpage as IC or
not, using a set of words as the features [2].
Our method differs as we do not limit the set of words, but instead label
each individual word in the user's current session pages with a measure
of its likelihood of appearing within an IC-page. We can use this information
to score any given page (e.g., the ones found by our scout) based
on the number of high-scored words it contained, or we could form a query
to a search engine as a list of the highly-scored words; see [20].
Conclusion
Future Work
Most of the results reported here are based on a study involving a travel-planning
task. We are planning further studies, to test the generality of our approach
in other contexts -- e.g., researching academic information or applying
to graduate school. We also plan to make a general version of AIE
publicly available, to help us collect extensive data from different users,
in natural environments.
We are implicitly viewing the list of IC-words as the intention of the
web user. It would be tempting to ask users to indicate their own information
need directly. However, they will often view this as an unwanted interruption
and be reluctant to do so. In addition, it may not always be easy for individuals
to express their information need. Our system is designed to run in the
background, without any explicit user input. It observes a user's behavior
and recommends IC-pages.
We are also currently investigating more effective ways to predict IC-words,
and hence IC-pages, perhaps based on yet other features of the IC-session,
such as other page content information, or perhaps timing information,
etc. We are also exploring the best way to connect our ICPF
with a scouting system and/or multiple search engines, and perhaps yet
other ways to provide specific page recommendations to the user.
We also plan to explore Natural Language processing systems to extend
the range of our IC-words, and other machine learning algorithms to make
better predictions, and help us to cope better with our imbalanced dataset.
Contributions
Many recommendation systems apply to only a single website, and basically
tell the current user where other similar users have visited. Our goal
is a complete-web client-side recommendation system that can actually point
a user to the webpages that contain the information that she will need
to accomplish her current task, wherever those pages appear, anywhere on
the web. To accomplish this, our ICPF first learns
a model of general web users. It does this by first extracting properties
(``browsing features'') of the words that appear in a training set of the
user's annotated web logs. These become the features; our ICPF
learns which combinations of these features determine whether the associated
word is likely to be included in the IC-page. As our system only depends
on characteristics of words, and not on the specific words themselves,
it can be used to classify the completely different set of words associated
with a completely different page sequence, and can recommend pages from
anywhere on the Web.
To assess the usefulness of this system, we conducted a laboratory study
to collect realistic annotated data. In this study, subjects perform a
series of information-search tasks on the web, and indicate which of the
pages they view are IC-pages. Our ICPF then determines
under what circumstances a word will be in the IC-page. Our empirical results
show that our system works effectively.
Acknowledgments
The authors gratefully acknowledges the generous support from Canada's
Natural Science and Engineering Research Council, the Alberta Ingenuity
Centre for Machine Learning (http://www.aicml.org),
and the Social Sciences and Humanities Research Council of Canada Initiative
on the New Economy Research Alliances Program (SSHRC 538-2002-1013).
Bibliography
-
1
-
R. Agrawal and R. Srikant.
Fast algorithms for mining association rules.
In Proc. of the 20th Int'l Conference on Very Large Databases (VLDB'94),
Santiago, Chile, Sep 1994.
-
2
-
D. Billsus and M. Pazzani.
A hybrid user model for news story classification.
In Proceedings of the Seventh International Conference on User Modeling
(UM '99), Banff, Canada, 1999.
-
3
-
M. Chen, J. Park, and P. Yu.
Efficient data mining for path traversal patterns in distributed systems.
In Proc. of the 16th IEEE Intern'l Conf. on Distributed Computing
Systems, pages 385-392, May 1996.
-
4
-
M. Chen, J. Park, and P. Yu.
Efficient data mining for path traversal patterns.
IEEE Trans. on Knowledge and Data Engineering, 10(2):209-221,
Apr 1998.
-
5
-
E. Chi, P. Pirolli, K. Chen, and J. Pitkow.
Using information scent to model user information needs and actions
on the web.
In ACM CHI 2001 Conference on Human Factors in Computing Systems,
pages 490-497, Seattle WA, 2001.
-
6
-
R. Cooley, B. Mobasher, and J. Srivastava.
Data preparation for mining world wide web browsing patterns.
Knowledge and Information Systems, 1(1), 1999.
-
7
-
R. Duda and P. Hart.
Pattern Classification and Scene Analysis.
Wiley, New York, 1973.
-
8
-
U. Fayyad and K. Irani.
Multi-interval discretization of continuous valued attributes for classification
learning.
In Proceedings of the Thirteenth International Joint Conference
on Artificial Intelligence (IJCAI '93), pages 1022-1027, 1993.
-
9
-
N. Japkowicz.
The class imbalance problem: Significance and strategies.
In Proceedings of the 2000 International Conference on Artificial
Intelligence (ICAI '2000), 2000.
-
10
-
A. Jennings and H. Higuchi.
A user model neural network for a personal news service.
User Modeling and User-Adapted Interaction, 3(1):1-25, 1993.
-
11
-
G. John and P. Langley.
Estimating continuous distributions in bayesian classifiers.
In Eleventh Annual Conference on Uncertainty in Artificial Intelligence,
pages 338-345, San Francisco, 1995. Morgan Kaufmann Publishers.
-
12
-
C. Ling and C. Li.
Data mining for direct marketing problems and solutions.
In Proceedings of the Fourth International Conference on Knowledge
Discovery and Data Mining (KDD-98), New York, NY, 1998. AAAI Press.
-
13
-
B. Mobasher, R. Cooley, and J. Srivastava.
Automatic personalization through web usage mining.
Technical Report TR99-010, Department of Computer Science, Depaul University,
1999.
-
14
-
M. Perkowitz and O. Etzioni.
Adaptive sites: Automatically learning from user access patterns.
Technical Report UW-CSE-97-03-01, University of Washington, 1997.
-
15
-
M. Porter.
An algorithm for suffix stripping.
Program, 14(3):130-137, Jul 1980.
-
16
-
C. Rijsbergen.
Information Retrieval.
2nd edition, London, Butterworths, 1979.
-
17
-
W3C.
Html 4.01 specification.
-
18
-
I. Witten and E. Frank.
Data Mining: Practical Machine Learning Tools and Techniques with
Java Implementations.
Morgan Kaufmann, Oct. 1999.
-
19
-
M. Zajicek and C. Powell.
Building a conceptual model of the world wide web for visually impaired
users.
In Proc. Ergonomics Society 1997 Annual Conference, Grantham,
1997.
-
20
-
T. Zhu, R. Greiner, and G. Häubl.
Learning a model of a web user's interests.
In The 9th International Conference on User Modeling(UM2003),
Johnstown, USA, June 2003.
About this document ...
An Effective Complete-Web Recommender System
This document was generated using the
LaTeX2HTML
translator Version 2K.1beta (1.47)
Copyright © 1993, 1994, 1995, 1996,
Nikos
Drakos, Computer Based Learning Unit, University of Leeds.
Copyright © 1997, 1998, 1999,
Ross
Moore, Mathematics Department, Macquarie University, Sydney.
The translation was initiated by Tingshao Zhu on 2003-02-28