Simulation, Verification and Automated Composition
of Web Services
Copyright is held by the author/owner(s).
WWW2002, May 7-11, 2002, Honolulu, Hawaii, USA.
ACM 1-58113-449-5/02/0005.
ABSTRACT
Web services -- Web-accessible programs and devices
– are a key application area for the Semantic Web. With the proliferation of
Web services and the evolution towards the Semantic Web comes the opportunity
to automate various Web services tasks.
Our objective is to enable markup and automated reasoning technology to
describe, simulate, compose, test, and verify compositions of Web
services. We take as our starting point
the DAML-S DAML+OIL ontology for describing the capabilities of Web services. We define the semantics for a relevant
subset of DAML-S in terms of a first-order logical language. With the semantics in hand, we encode our
service descriptions in a Petri Net formalism and provide decision procedures
for Web service simulation, verification and composition. We also provide an analysis of the complexity
of these tasks under different restrictions to the DAML-S composite services we
can describe. Finally, we present an
implementation of our analysis techniques.
This implementation takes as input a DAML-S description of a Web
service, automatically generates a Petri Net and performs the desired
analysis. Such a tool has broad
applicability both as a back end to existing manual Web service composition
tools, and as a stand-alone tool for Web service developers.
Categories and Subject Descriptors
I.2.4
[Artificial Intelligence]:
Knowledge Representation Formalisms and Methods - Representation
languages, representations, Predicate logic, Frames and scripts.
General Terms
Algorithms,
Design, Standardization, Languages, Theory,
Verification.
Keywords
Semantic Web, DAML, Ontologies, Web Services, Web Service Composition, Distributed Systems, Automated Reasoning.
1. INTRODUCTION
The vision of the semantic Web [4] is to provide
computer-interpretable markup of the Web’s content and capability, thus enabling
automation of many tasks currently performed by human-beings. A key application for semantic Web
technologies is Web services – Web-accessible programs and devices that will
proliferate the Web. Examples of such
Web services include the book-buying service at www.amazon.com,
or the travel service at www.travelocity.com. Semantic markup of the content and
capability of Web services – what a service does, how to use it, what its
effect will be – will enable easy automation of a variety of reasoning tasks,
currently performed manually by human beings, or through arduous hand-coding
that enables subsequent automation.
Such tasks include automated Web service discovery, automated
invocation, automated interoperation, automated selection and composition, and
automated execution monitoring [10,17,23].
In this paper, we are motivated by issues related to
Web service composition. Compositions
of Web services are created in many different ways. Many compositions are created manually by the service provider by
taking simple Web-accessible programs, such as a form-validation program, or
database lookup program, and composing them using typical procedural
programming constructs such as if-then-else, sequence or while-loop. The book-buying service at www.amazon.com is an example of a composite
service.
A number of software systems are available to
facilitate manual composition of programs, and more recently Web services. Such programs, which include a diversity of
workflow tools [1,12], and more recently service composition aids such as
BizTalk Orchestration [20] enable a user to manually specify a composition of
programs to perform some task. Most
recently, technologies have been proposed that use some form of semantic markup
of Web services in order to automatically compose Web services to perform some
desired task (e.g., [23,24,3,31]).
Regardless of how the compositions originated, we are interested here in
describing and proving properties of these services – to test the system by
simulating its execution under different input conditions, to logically verify
certain maintenance and safety conditions associated with the service, and to
automatically compose services. In
summary, our objective is to enable markup and automated reasoning technology
to describe, simulate, automatically compose, test and verify Web service
compositions.
Our starting point is the DAML-S ontology for Web
services [8,9], which we exploit to provide semantic markup of the content and
capabilities of Web services. In
Section 3 we provide a semantics for a portion of the DAML-S language we
require to describe compositions of Web services. In Section 4, we provide an operational semantics using Petri
Nets. In Section 5, we describe
decision procedures for Web services simulation, testing, composition, and
verification. We also provide an
analysis of the complexity of these tasks under restricted classes of Web
service compositions. Finally in
Section 6, we discuss our implementation of a software tool for performing the
proposed automated reasoning tasks. The
theory and implementation presented in this paper has broad applicability both
as a back end to enhance existing manual composition tools, and as a stand-alone tool for simulation, testing, verification
and automated composition of Web services.
2. DAML-S
Critical to the vision of the semantic Web is the
provision of a markup language, (or in artificial intelligence (AI)
terminology, a knowledge representation language), that has a well-defined
semantics to enable unambiguous computer interpretation. The language must also be sufficiently
expressive to describe the properties and capabilities of Web services. Over the last several years, a number of
semantic Web markup languages have been proposed. These include XML, RDF and RDF(S) and most recently DAML+OIL
[13,17,30]. We have adopted DAML+OIL as
our content language for describing Web services, and in particular we have
adopted DAML-S.
DAML+OIL is an AI-inspired description logic-based
language for describing taxonomic information. The DAML+OIL language builds on
top of XML and RDF(S) to provide a language with both a well-defined semantics
and a set of language constructs including classes,
subclasses and properties with domains
and ranges, for describing a Web
domain. DAML+OIL can further express
restrictions on membership in classes and also restrictions on domains and
ranges, including cardinality restrictions.
DAML-S is a DAML+OIL ontology for Web services
developed by a coalition of researchers[3],
under the auspices of the DARPA Agent Markup Language (DAML) program. The latest release of this ontology is
located at [8] and an earlier version is described [9]. The DAML-S ontology
describes a set of classes and properties, specific to the description of Web
services. The upper ontology of DAML-S
comprises the service profile for
describing service advertisements, the process
model for describing the actual program that realizes the service, and the service grounding for describing the
transport-level messaging information associated with execution of the
program. The service grounding is akin
to the Web Service Description Language, WSDL.
It is the process model that provides a declarative
description of the properties of the Web-accessible programs we wish to reason
about. To illustrate the salient features of the DAML-S process model, we use
the example of a fictitious book-buying service offered by the Web service
provider, Congo Inc. The Congo example
was described in the original release of DAML-S, and its markup can be found at
http://www.daml.org/services. We use a variant of it here for illustration
purposes.
The process model conceives each program as either
an atomic or composite process.
It additionally allows for the notion of a simple
process, which is used to describe a view, abstraction or default instantiation
of the atomic or composite process to which it expands. We focus here on atomic and composite processes.
<daml:Class
rdf:ID="Process">
<daml:unionOf
rdf:parseType="daml:collection">
<daml:Class
rdf:about="#AtomicProcess"/>
<daml:Class rdf:about="#SimpleProcess"/>
<daml:Class
rdf:about="#CompositeProcess"/>
</daml:unionOf>
</daml:Class>
An atomic process is a
non-decomposable Web-accessible program.
It is executed by a single (e.g., http) call, and returns a
response. It does not require an
extended conversation between the calling program or agent, and the Web
service.
<daml:Class rdf:ID="AtomicProcess">
<daml:subClassOf rdf:resource="#Process"/>
</daml:Class>
An example of an atomic
process is the LocateBook service that takes as input the name of a book and
returns a description of the book and its price, if the book is in Congo’s
catalogue.
<daml:Class
rdf:ID="LocateBook">
<rdfs:subClassOf
rdf:resource="&process;#AtomicProcess"/>
</daml:Class>
In contrast, a composite
process is composed of other composite or atomic processes through the use of control constructs. These constructs are typical programming
language constructs such as sequence,
if-then-else, while, fork, etc. that dictate the ordering and the conditional
execution of processes in the composition.
We provide a subset of the markup below.
<daml:Class
rdf:ID="CompositeProcess">
<daml:intersectionOf
rdf:parseType="daml:collection">
<daml:Class
rdf:about="#Process"/>
<daml:Restriction
daml:minCardinality="1">
<daml:onProperty
rdf:resource="#composedOf"/>
</daml:Restriction>
</daml:intersectionOf>
</daml:Class>
<rdf:Property
rdf:ID="composedOf">
<rdfs:domain
rdf:resource="#CompositeProcess"/>
<rdfs:range rdf:resource="#ControlConstruct"/>
</rdf:Property>
An example of a composite
process might be the Find-n-Buy service that composes LocateBook,
together with order request and financial transaction services. The composition constructs allow for
multiple different execution pathways to termination depending, in this case,
on whether the book is sold by Congo, is in stock, and whether the user wishes
to buy it.
Associated with each process
is a set of properties. Using a program or function metaphor, a process has parameters to which it is
associated. Two types of parameters are
the DAML-S properties input and (conditional) output.
<rdf:Property
rdf:ID="parameter">
<rdfs:domain
rdf:resource="#Process"/>
<rdfs:range
rdf:resource="http://www.daml.org/...
#Thing"/>
</rdf:Property>
<rdf:Property
rdf:ID="input">
<rdfs:subPropertyOf
rdf:resource="#parameter"/>
</rdf:Property>
An
input for LocateBook might
be the name of the book.
<rdf:Property rdf:ID="bookName">
<rdfs:subPropertyOf
rdf:resource="&process;#input"/>
<rdfs:domain
rdf:resource="#LocateBook"/>
<rdfs:range
rdf:resource="&xsd;#string"/>[4]
</rdf:Property>
Inputs can be mandatory or
optional. In contrast, outputs are
generally conditional. This is
important. For example, when you search
for a book in the Congo catalogue, the output may be a detailed description of
the book, if Congo carries it, or it may be a “Sorry we don’t carry.”
message. Such outputs are characterized
as conditional outputs. We define a conditional
output class that describes both a condition
and the output based on this
condition. An unconditional output has
a zero cardinality restriction on its condition.
<rdf:Property rdf:ID="output">
<rdfs:domain
rdf:resource="#parameter"/>
<rdfs:range
rdf:resource="#ConditionalOutput"/>
</rdf:Property>
<daml:Class rdf:ID="ConditionalOutput">
<daml:subClassOf
rdf:resource="http://www.daml.org/...#Thing"/>
</daml:Class>
<rdf:Property
rdf:ID="coCondition">
<rdfs:comment>
The condition of the conditional output.
</rdfs:comment>
<rdfs:domain
rdf:resource="#ConditionalOutput"/>
<rdfs:range
rdf:resource="#Condition"/>
</rdf:Property>
<rdf:Property
rdf:ID="coOutput">
<rdfs:comment>
The output of the conditional output.
</rdfs:comment>
<rdfs:domain
rdf:resource="#ConditionalOutput"/>
<rdfs:range
rdf:resource="http://www.daml.org/...#Thing"/>
</rdf:Property>
In addition to the program or
function metaphor, it is also useful to use an action, event or process metaphor
to conceive services. In this context
we can consider services to have the properties precondition and (conditional)
effect. Preconditions and conditional effects are described analogously
to inputs and conditional outputs.
Preconditions specify things that must be true of
the world in order for an agent to execute a service. A precondition of every process is that the agent knows the input parameters of the
process. For example, one precondition
for LocateBook
is that the agent Knows(bookName). Stipulating knowledge preconditions pertaining to
the input parameters is redundant with the input parameters and are only
distinguished as knowledge preconditions in the semantics. Many Web services that are embodied as
programs on the Web only have these preconditions. At the level of abstraction we are modeling Web services, there
are no physical preconditions to the execution of a piece of software on the
Web. In contrast, Web-accessible
devices may have many physical preconditions such as bandwidth resources or
battery power.
<rdf:Property
rdf:ID="precondition">
<rdfs:domain
rdf:resource="#Process"/>
<rdfs:range
rdf:resource="http://www.daml.org/...
#Thing"/>
</rdf:Property>
Conditional effects characterize the physical
side-effects, execution of a Web-service has on the world. An example of a conditional effect for a BuyBook service might be Own(bookName), when InStock(bookName). Note that not all services have physical side-effects, in
particular, services that are strictly information providing do not. The DAML-S markup for conditional effects is
analogous to that for conditional outputs.
3. THE SEMANTICS OF DAML-S
The DAML-S DAML+OIL ontology provides a set of
distinguished classes and properties for describing the content and capabilities
of Web services. The DAML+OIL language
in which it is specified has a well-defined semantics, however the expressive
power of DAML+OIL is not sufficient to restrict DAML-S to all and only the
intended interpretations. Our objective
in this section is to describe a semantics for that portion of DAML-S that is
relevant to our work on Web service composition. In particular, we ascribe a semantics to the notion of atomic and
composite processes.
One compelling way to do this, as has been done with
the semantics of DAML+OIL [13], is to describe DAML-S in a more expressive
language, such as first-order logic, and to add a set of axioms to this theory
that constrains the models of the theory to all and only the intended
interpretations. Since DAML-S is
actually a process modeling language, and its relationship to other process
modeling languages is important to interoperability, an even more compelling
way to ascribe a semantics to DAML-S is to map it to the US National Institute
of Standard’s (NIST) Process Specification Language (PSL) [29]. PSL is a process specification ontology
described in the situation calculus, a (mostly) first-order logical language
for reasoning about dynamical systems [28].
PSL’s role is to serve as the lingua franca for all business and
manufacturing process specification languages. Once the DAML-S language is
stabilized, we should easily be able to translate the situation calculus
description in Section 3.1 into the PSL ontology [15].
3.1 From DAML-S to Situation Calculus
The situation calculus language we use [28] is a
first-order logical language for representing dynamically changing worlds in
which all of the changes are the direct result of named actions performed by some agent.
Situations are sequences of actions, evolving from an initial
distinguished situation, designated by the constant S0. If a(y)[5]
is an action and s, a situation, the
result of performing a in s is the situation represented by the
function do(a,s). Functions and relations whose values vary
from situation to situation, called fluents,
are denoted by a predicate symbol taking a situation term as the last argument
(e.g., Own(bookName,s)). Finally, Poss(a,s)
is a distinguished fluent expressing that action a is possible to perform in situation s.
The dialect of the situation calculus that we use
includes a means of representing knowledge.
In particular, there is a distinguished fluent K(s,s’) that describes the accessibility relation between
situations. The notation Knows(f,s)
denotes that the formula f is known in situation s
(e.g., Knows(Owns(“On the Road”,s))). The
notation Kwhether(f,s)
is an abbreviation for a formula indicating that the truth value of f is
known. I.e., Kwhether(f,s) = Knows(f,s) Ú Knows(Řf,s). Finally, the abbreviation Kref(j,s) abbreviates a formula
indicating that the functional value of j is known. The situation calculus is fully described in
[28]. We dispense with further details
and focus here on the salient features relevant to this paper.
Atomic processes in DAML-S are actions a(y) in the situation calculus. The input parameters of an atomic process
are the parameters y of action a. E.g., the atomic process BuyBook is the parameterized action BuyBook(bookName) .
Conditional
effects and outputs: The conditional effects of an
atomic process are represented in the situation calculus as positive and
negative effect axioms of the following form:
Poss(a,s) Ů gF+(x,a,s) ® F(x,do(a,s))
Poss(a,s) Ů gF-(x,a,s) ® Ř F(x,do(a,s)).
gF(+/-)(x,a,s) contains all the different
combinations of actions and conditions that would make fluent F (e.g., Own(bookName,s)) respectively true/false after execution of the
action. The following is an example
of a positive effect axiom for the BuyBook service with respect to its
effect on Own(bookName). In this example, gF+(x,a,s) is a=BuyBook(bookName) Ů Instock(bookName).
Poss(a,s) Ů a=BuyBook(bookName) Ů Instock(bookmane,s)
® Own(bookName,do(a,s))
In our example, we do not illustrate a service that
has a negative effect on the fluent Own.
To make it more interesting, we add the following.
Poss(a,s) Ů a=SellBook(bookName)
® Ř Own(bookName,do(a,s))
Although specified as outputs rather than effects in
the DAML-S markup, the conditional outputs of an atomic process a are treated as knowledge effects semantically.
This is an important distinction captured in our semantics. E.g.,
Poss(a,s) Ů
a=LocateBook(bookName) Ů
Incatalogue(bookName,s)
®
Kref(Price(bookName),do(a,s))
The output of a service is the information the agent
is being told. Hence the effect will
either be a Kref, Kwhether or Knows expression.
To address the frame problem representationally
[28], effect axioms are compiled into successor state axioms, by appealing to a
causal completeness assumption – that the effect axioms for a fluent F characterize all and only actions that
cause a change in the (truth) value of fluent F. Successor state axioms
express all the conditions underwhich a fluent value can change. This ensures that the models of the
situation calculus represent all and only the intended interpretations.
Successor state axioms, one for each fluent in the
language, are of the following form:
F(x,do(a,s)) ş gF+(x,a,s) Ú (F(x,s) Ů Ř gF-(x,a,s))
I.e.,
the fluent F is true in do(a,s) iff an action made it true
(i.e., gF+(x,a,s)) or it was
already true and an action did not make it false (i.e., (F(x,s) Ů Ř gF-(x,a,s))).
Own(bookName,do(a,s)) ş
(a=BuyBook(bookName)
Ů
Instock(bookName,s))
Ú
(Own(bookName,s) Ů a ą SellBook(bookName))
Successor state axioms for knowledge are discussed
in [28].
Preconditions
and inputs: DAML-S preconditions for an
atomic process are represented as well-formed formula in the situation
calculus. Each precondition of an
atomic process is expressed as a necessary condition for actions in the
situation calculus.
Poss(a,s) ® pi
where
pi is a formula relativized to s. E.g.,
Poss(CheckGPS(location),s) ®
Charged(GPSbattery,s)
For
multiple preconditions, this generalizes to:
Poss(a,s) ® p1 Ů p2 ŮĽŮ pn
Just as outputs are treated as knowledge effects, so
too are inputs treated as knowledge
preconditions semantically. The
agent must know the value of the inputs to the service before it can execute
the service. For example, in order to execute LocateBook, the agent must know
the values of all the inputs. Hence for
every input ji, of an atomic process a,
Poss(a,s) ® Kref(j1,s) ŮĽŮ Kref(jn,s)
Under the completeness assumption, that the
preconditions encode all and only the preconditions for an atomic process,
these necessary conditions for action are compiled into action precondition
axioms of the following form:
Poss(a,s)
ş p1 Ů p2 ŮĽŮ pn Ů Kref(j1,s) ŮĽŮ Kref(jn,s)
E.g.,
Poss(CheckGPS(location),s)
ş
Charged(GPSbattery,s) Ů Kref(location,s)
The complete situation calculus axiomatization of a
DAML-S description includes the sets of axioms described above,
·
successor
state axioms, DSS,
·
action
precondition axioms, Dap,,
as well as the following axioms described in [28],
namely
·
foundational
axioms of the situation calculus, S,
·
axioms
describing the initial situation, DS0,,
·
unique
names for actions, Duna,
·
domain
closure axioms for actions, Ddca.
These axioms collectively capture the intended
interpretation of the portion of DAML-S we have described here.
Note that we have not described the translation of
DAML-S composite processes into the situation calculus. This translation follows nicely from the
representation of complex actions in the situation calculus using Golog [14].
Further discussion of this point is beyond the scope of this paper.
4. AN OPERATIONAL SEMANTICS
In the previous section we ascribed a semantics to a
relevant subset of DAML-S. With this
semantics in hand, we can reason about the execution of Web services. We use the situation calculus as a lingua
franca and translate into a representation that provides special-purpose
machinery for the tasks we wish to address.
Specifically, we use the distributed operational semantics of processes
provided by Petri Nets [26]. Several
other options present themselves, including simple finite state automata, or
process algebras such as the Pi-Calculus.
The latter provides the theoretical foundations for Microsoft’s
XLANG. However, most of these
approaches do not offer techniques for quantitative analysis. We
selected Petri Nets for its combination of compelling computational semantics,
ease of implementation, and its ability to address both offline analysis tasks
such as Web service composition and online execution tasks such as deadlock
determination resource satisfaction, and quantitative performance
analysis. We also note the existence of
several well-known techniques mapping from Petri Nets to process logics and
vice versa [25,26].
There are tradeoffs associated with any choice of
computational machinery. In the most
general case, Petri Nets with inhibitory arcs are Turing equivalent. Hence, the translation from situation
calculus does not limit the systems we can analyze. Nevertheless, the situation calculus is a more parsimonious for
large theories. Petri Nets have a form
of computational completion semantics that enables easy mapping from the
situation calculus and that addresses the frame problem in a very nice way
[27]. Their natural representation of change and concurrency allows us to
construct a distributed and executable operational semantics of Web services.
We are also able to bring to bear well established theories from the vast
computer science literature on Petri Nets [26] to define subclasses of the
DAML-S process model with respect to their computational complexity. Finally,
Petri Nets also have the advantage of dealing with resources, something that
will be important in reasoning about Web service devices.
In the subsection to follow we describe our approach
in detail. We introduce the notion of a
Petri Net and describe the representation of our situation calculus theory in
Petri Nets. We then go on to describe computational
analysis techniques to realize many Web service automation tasks.
4.1 Petri Nets
We have constructed an execution semantics for
DAML-S based on Petri Nets. A Petri Net is a bipartite graph containing places (drawn as circles) and transitions (drawn as rectangles). Places hold tokens and represent predicates about the world state or internal
state. Transitions are the active component.
When all of the places pointing into a transition contain an adequate
number of tokens (usually 1) the transition is enabled and may fire,
removing its input tokens and depositing a new set of tokens in its output
places. The most relevant features of
Petri Nets for our purposes are their ability to model events and states in a
distributed system and to cleanly capture sequentiality, concurrency and
event-based asynchronous control. Our extensions to the basic Petri Net
formalism include typed arcs, hierarchical control, durative transitions,
parameterization, typed (individual) tokens and stochasticity. For this paper,
the crucial fact about our representation is that it is active with a well defined real-time execution semantics for
service descriptions.
The rest of this section details our mapping. The section to follow describes our
automatic model construction, simulation and analysis of DAML-S markups using
the theory of Petri Nets. While we are aiming for this paper to be
selfsufficient, we will borrow results from the well-developed theory of
concurrent systems. For specific relevant results, we refer the reader to the
appropriate citation. For a more general introduction to the theory and
analysis of distributed and concurrent systems using Petri Nets, the reader is
referred to one of several excellent surveys (e.g., [26, 5, 32,1]).
Definition 1 (Petri
Nets) A Petri Net (PN) is an algebraic structure
(P, T, I, O) composed of:
·
finite
set of places, P = {p1, p2, ... pn},
·
finite
set of transitions, T = {t1, t2, ... tm},
·
Transition
Input Function, I. I maps each transition ti to a multiset of P.
·
Transition
Output Function, O. O maps each transition ti to a multiset of P. [6]
Definition 2
(Markings/Tokens/Initial marking) A marking
in a Petri Net PN(P, T, I, O) is a function µ, that maps every place into a
natural number. If for a given marking µ, µ(pi) = x, then it is said that the
place pi holds x tokens at the
marking µ. A special marking, denoted by µ0, will be called the initial marking.
Definition 3
(Enabled/Fireable transitions at marking µ) At a given marking µ, if for any ti e T, µ(p) ł
#[p,I(ti)], " p e P, then ti is said to be enabled by the marking µ. Here #[p,I(ti)] denotes the number of
occurrences of place p in the multiset I(ti). Let us denote the set of all
enabled transitions at a given marking µ by EN(µ). In conventional Petri Nets every enabled transition may fire. This is not always true for other
kind of Petri Nets, particularly the timed ones. If we denote by F(µ) the set of all fireable transitions at a
given marking µ, then for conventional Petri Nets F(µ) = EN(µ).
Definition 4
(Transition firing/Occurrence sequence) The firing
of any enabled transition, ti, at marking µ, causes the change of the marking µ
to a new marking µ' as follows: " p e P, µ'(p) = µ(p) - #[p, I(ti)] + #[p, O(ti)]. Where: #[p, I(ti)] and #[p, O(ti)], denotes,
the number of occurrences of place p in the multiset I(ti) and in the multiset
O(ti) respectively. In other words, the new marking µ', for each place p, is
equal to the old number of tokens in that place, minus the number of
occurrences of p in the input. A
sequence of firings (t1 …tn) that take an initial marking µ0 to a new marking
µN is called an occurrence sequence.
Graphical representation: The algebraic
structure of a Petri Net PN(P, T, I, O) may be represented graphically. In this
graphical representation, a Petri Net will be represented by a bipartite graph,
where: every place will be represented
by a circle; every transition will be represented by a rectangle ; the function
I will be represented by directed arcs linking every p Î I(ti) to the transition ti. These
arcs are called input arcs to the transition ti; and the function O will be
represented by directed arcs linking each transition ti to every p Î O(ti). Analogously with the input
arcs, these arcs are called output arcs to the transition ti .
Modeling discrete systems
with Petri Nets: When modeling a discrete system with a
Petri Net, partial states of the system are represented by places. Whether the
system is in a particular partial state or not is represented by the presence/absence
of a token in the place representing this partial state. Events are represented
by the transitions. Conditions allowing an event to occur are represented by
the input arcs to the associated transition of this event. These are normally
called pre-conditions. The input places of these arcs represent the combination
of the several partial states that must be valid in order that the event
represented by the transition occurs. After the occurrence of an event (firing
of an enabled transition) a new set of partial states will be valid. These are
called the post conditions and are represented by the output arcs of the fired
transition.
4.2 A Petri Net Semantics for
DAML-S
Section 3 defined the semantics of DAML-S atomic
processes in terms of a set of situation calculus axioms. We start by showing
the mapping from the situation calculus axioms to the corresponding Petri Net
structure. After describing the basic mapping, we describe the net structures
for the various control constructs
that define composite processes in DAML-S.
4.2.1
DAML-S Atomic Processes as Petri Nets
Recall, the basic set of axioms representing the
DAML-S atomic process were the effect axioms, i.e.,
Poss(a,s) Ů gF+(x,a,s) ® F(x,do(a,s))
Poss(a,s) Ů gF-(x,a,s) ® ŘF(x,do(a,s)),
and the necessary conditions for actions. The latter embody both the physical
preconditions described in the DAML-S markup, and the knowledge preconditions
reflecting the requirement that an agent know the values of the input
parameters of the process. We
distinguish these by the subscript w
(world) and k (knowledge) :
Possw (a,s) ® p1 Ů p2 ŮĽŮ pn
Possk(a,s) ® Kref(j1,s) ŮĽŮ Kref(jn,s)
Poss(a,s) ® p1 Ů p2 ŮĽŮ pn Ů Kref(j1,s) ŮĽŮ Kref(jn,s)
In the situation calculus, a completion assumption
is made to reflect that 1) the effect axioms specify all and only the
conditions under which a fluent can change, and 2) the necessary conditions for
actions specify all and only the conditions under which an action a is possible
to execute. This completion assumption
is captured axiomatically by translating effect axioms into successor state
axioms and necessary conditions for actions into action precondition axioms. Petri Nets provide a computational mechanism
for achieving this completion. The
graph structure defines the completion and computation over the graph structure
achieves the computational completion semantics. Hence, the solution to the frame problem is captured in the
computational semantics of Petri Nets.
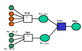
Figure 1. Atomic DAML-S process
Figure 1 illustrates the graphical Petri Net
representation of a DAML-S atomic process.
With multiple conditional effects, there would be a transition for each
possible conditional effect, with a preset of the specific condition(s) and a postset of the effect of excecuting that action under those conditions. To
ease exposition in this paper, we will not consider multiple conditional
effects. In the discussion to follow, the atomic process in Figure 1 will be
represented as a single transition (in blue, where visible).
Having illustrated the mapping from the situation
calculus description of a DAML-S atomic process, we now turn to modeling composite processes as Petri Net
structures. DAML-S composite processes
are compositions of sub-processes -- other composite or atomic processes. All
composite processes bottom out in atomic processes. The DAML-S composedOf property
specifies the control flow and data flow of its sub-processes, yielding
constraints on the ordering and conditional execution of these sub-processes.

Figure 2. Canonical DAML-S composite process
Figure 2 illustrates the canical graphical Petri Net
representation of a DAML-S composite process, comprising start/finish,
ready/done, and a control construct. We consider each
construct of DAML-S version 0.6 [8] and provide the appropriate Net structure
that captures a possible execution semantics of that construct. The basic
control constructs we consider are the sequence,
parallel, condition, choice, and the various iterate classes of DAML-S.
Figure 3 depicts the Distributed OPErational (DOPE) semantics for the various
DAML-S composite constructs.
We have implemented a DAML-S interpreter
that translates DAML-S markups to the Petri Net based simulation and modeling
environment KarmaSIM [27]. The KarmaSIM tool allows for interactive simulation
and supports the various verification and performance analysis techniques. In
Figure 3, the thickened (red, where visible) arcs correspond to the result of
transition firing and token transfer as the system moves from state to state.
The thickened (brown filled) transitions depict the enabled transitions. As is
clear from the state shown in Figure 3, the overall system has a distributed
operational semantics. I.e., each
transition fires based on its local input conditions, and transition firings
correspond to system evolution.
We now describe the various DAML-S
composite constructs and their DOPE semantics. Note that in Figure 3, DAML-S
atomic processes correspond to transition and embedded composite processes are
recursively built up from their ground atomic processes. In Section 6, we illustrate a book buying
example [8] that utilizes and illustrates many of these constructs.

The sequence construct: In DAML-S, Sequence
has a list of component sub-processes that specify the body. As shown in Figure
3 (Seq(P1,P2)), the semantics of sequence is a total ordering on the process list,
where Process1 (P1) and Process2 (P2) are executed in sequence. Assuming its preconditions are satisfied, P2
can execute upon the completion of P1.
The split
construct: A split composite process
consists of concurrent execution of a bag of sub-processes. No further specification about waiting,
synchronization, etc. is made at this level of the DAML-S ontology. Our model
of the Split construct assumes a
process that initiates a set of concurrent processes and terminates. We use
special constructs to model the synchronization aspects, both local and barrier
types. Thus, in the situation shown in Figure 3 (Split(P1,P2)), the two split
processes Process1 and Process2 are initiated, and the composite process is
ready to transition to a FINISHed state.
The split and
join (concurrent) construct: A split-and-join composite
process consists of concurrent execution of a bag of sub-processes. The default
assumes barrier synchronization. With
Split and Split and Join, we can define processes which have partial
synchronization (e.g., split all and join some subset). In the example network
shown in Figure 3 (Conc(P1,P2)), both processes are concurrently enabled and
the overall composite process waits until both processes are completed. One can
analogously construct cases of Split n join m (m <= n), etc.
The choice
construct: A
choice composite process selects a process for execution from among a bag of
processes. The choose property, takes a choice bag and returns a chosen bag.
The cardinality of the bag can be specified through a restriction to get
choose(n) (0<n<=|bag|). DAML-S
does not distinguish choice from alternative.
As shown in Figure 3 (Choice(P1,P2)), the DAML-S specification
corresponds to both Process1 and Process2
being possible choices; selecting and completing either choice would allow the
composite process to finish. The semantic framework supports
probabilistic choice, but DAML-S has not (yet) been augmented with
probabilities.
The
if-then-else construct: An if-then-else composite
process is a simple construct that has a relation whose domain is a process and
whose range is a binary value. This internal process usually corresponds to one or more test actions, but
it may alternatively be some evaluation of world state, resource levels, timeouts
or other conditions that affect the evolution of processes. DAML-S conditions have a property conditionValue which is a boolean. The
specific execution branch (i.e., which process/action to execute) depends on
the value of this property. In the example shown in Figure 3
(If-Then-Else), the Condition value is TRUE and the Then branch of the If-Then-Else is enabled. If the Condition value
were FALSE, the Else process bag
would be active.
The
repeat-condition construct: DAML-S has both repeat-while and repeat-until composite processes. Repeat-while specializes the ControlConstruct class with properties whileCondition (whose DAML-S range is of
type Condition) and whileProcess (range is of type Repeat). No commitments are made about whether this is asynchronous (w/o
prioritized interrupts) or synchronous (with specific polling/busy-wait
strategies), etc. This is left for the
particular execution model to specify. Similarly, repeat-until specializes the ControlConstruct class with properties untilCondition (range is of type Condition) and untilProcess (range is of type Repeat). Figure 3 (repeat-until) shows the execution
semantics of the Repeat-until construct. The Repeat-while semantics is
analogous except that input places for the DAML-S conditionValue (the Condtion=true and Condition=False nodes in
Figure 3) are reversed.
Whether created manually by Web service providers,
value-adding 3rd party Web service providers, or by some automated
tool, the semantic Web will be replete with composite services. Assessing the correctness, effectiveness,
safety and efficiency of composite services is vital to safe and reliable
automation of Web services. In this
section we provide a set of computational analysis tools, based on our Petri
Net representation, that enable us to automate Web service tasks such as:
Simulation – simulate the evolution of
a Web service under different conditions.
Validation – test whether a Web service
behaves as expected.
Verification – establish the upholding of
certain properties of a Web service (e.g., that it maintains certain
properties, that it ensures safety, etc.)
Composition – generate a composition of
Web services that achieves a specified goal.
Performance
Analysis –
evaluate the ability of a service to meet requirements with respect to
throughput times, service levels, and resource utilization.
While our tools provide for sophisticated
performance analysis, detailed discussion of these techniques is outside the
scope of this paper. In Section 6, we discuss the implementation of these
analysis tools together with their application to DAML-S described Web
services.
Simulation of a PN is straightforward. Similarly, validation can be done by interactive simulation: hypothetical
cases, in many cases a predefined test suite, are fed to the system to see
whether they generate the expected output and the expected effects relative to
the PN representation. For verification, composition and performance analysis
more advanced analysis techniques are needed. Fortunately, many powerful
analysis techniques have been developed for Petri Nets [5,11,26]. Linear
algebraic techniques can be used to verify many properties, e.g., place
invariants, transition invariants, and (non-)reachability. Coverability graph
analysis, model checking, and reduction techniques can be used to analyze the
dynamic behavior of a Petri Net. Simulation and Markov-chain analysis can be
used for performance evaluation.
Three of the most important verification problems are: reachability, liveness and existence of
deadlocks. With the proliferation of
embedded devices, the issue of safe operation is becoming central to device
verification. In the context of Web services, verification that a composite
service upholds a safety constraint (e.g., ensuring that a credit card is only
debited once per transaction, or not executing the order to send the
merchandise until the goods are paid for) is critical. In what follows, we show that the
verification of safety constraints, the detection of deadlock, and the
automated composition of Web services can be characterized in terms of the
notion of reachability.[7]
Definition 5
(Reachability) A marking M is reachable if it is the marking reached
by some occurrence sequence (Definition 4). Given a marking M of N, the set of
reachable markings of the net (P; T; F; M) (i.e., the net obtained by replacing
the initial marking M0 by M) is denoted by [M >.
Notice that the empty sequence is an occurrence
sequence and that it reaches the initial marking M0. The
reachability problem for a net N is the problem of deciding for a given marking
M of N if it is reachable.
Safety of a distributed system is defined
as lack of reachabilility to an unsafe state.
Definition 6
(Safety of Web Service Compositions) Let S be a
Web service composition with associated net (P;T;F;M). Let f be a safety constraint, and
let marking M’ encode the negation (i.e., the violation) of the safety
constraint f. Then a Web service composition S is safe with respect to f iff there is no occurrence sequence of the net of S that reaches M’.
Analogously we define the task of generating a
composition of Web services to achieve a goal as the problem of finding an
occurrence sequence that reaches the marking depicting the user’s desired goal
state. The occurrence sequence dictates
the sequence of Web services whose execution leads to the goal. Sequential composition of atomic services to
achieve a goal state can be realized using DAML-S and reachability analysis as
described here. We may automatically
compose composite services using the same technique by compiling composite
processes into macros following [22].
Definition 7
(Automated Composition of Web Services) Let A be a
set of atomic Web services and let N=(P;T;F;M) be the net that depicts the
behavior of all the services in A. Further, let j represent the user’s goal,
and let M’ be the marking that depicts this goal in N. Then a1;a2,…;an is a sequential composition
of atomic services that achieves user goal j iff a1;a2,…;an is an
occurrence sequence in the reachability analysis of M’ in N. Note, that the case of Web service composition is one of
service input-output composition where an individual service is treated as
atomic. This is in contrast to general process composition, where all possible
interleavings should be considered.[8]
Of course, given some agent goal, a service description and our process
semantics, a smart agent with sufficient computational resources could compute
optimal compositions by combining partial service executions.[9]
This notion of automated composition of Web services
with macros is analogous to AI planning in systems such as Blackbox [19] or Graphplan [6] where we have complete
information about the initial situation [22].
In contrast, however, these planners look for plans of a bounded length,
hence reducing the complexity of search as we will see below. It is important to observe in the general
case that the search space for most practical Web service compositions is very
branchy (there are many services to choose from). Fortunately, the resulting composition tends to be short.
In addition to the verification of safety
constraints, another important analysis to perform is the determination of
deadlock. Deadlock is obviously an
important property to consider in the composition of services, since one wishes
to avoid compositions, which lead to reachable states where the service hangs
and no further interaction is possible.
Definition 8
(Deadlock) A
marking of a net is a deadlock if it
enables no transitions. The deadlock problem for a net is the problem of
deciding if any of its reachable markings is a deadlock.
5.2 Complexity of DAML-S Services Tasks
In this subsection, we relate the complexity of
various Web service task to the expressiveness of DAML-S.
Theorem 1 The reachability problem for process models built on DAML-S (0.5)
service descriptions is PSPACE-complete.
Proof Sketch
(Theorem 1) The proof relies on the results of [7] which
showed P-Space completeness of a
specific subclass of Petri Nets which are 1-safe
nets. Their proof was based on a
polynomial reduction from reachability for 1-safe nets to the LINEAR
BOUNDED AUTOMATON ACCEPTANCE problem, which is known to be PSPACE-complete.
Definition 9
(1-Safe Nets) A marking M of a net N is
1-safe if for every place p of the net M(p) Ł 1. We identify a 1-safe
marking M with the set of places p such that M(p) = 1. A net N is 1-safe if all
its reachable markings are 1-safe.
Lemma 1 DAML-S 0.5 service
descriptions result in 1-safe nets.
The proof can be found in an extended version of
this paper, now at http://www.icsi.berkeley.edu/~snarayan/www11.html.
Proposition 1
(Complexity of Verification and Composition) From Theorem 1, we can conclude that the
complexity of Web service safety verification and automated sequential
composition of atomic services is P-SPACE in the general case. Note however that in the case of safety
verification, the net is simply the net of the individual composite service
being verified, which will in general be extremely small. In contrast, the net used for Web service
composition is the net characterizing the behavior of all atomic Web services
under consideration for composition. It
will be large, though the resulting occurrence sequence will in general be
short. These results are consistent
with the complexity results for AI planning [2]. From Theorems 2 and 3 below we can draw similar conclusions about
the complexity of our Web service automation tasks.
Theorem 2 Without the iterate
constructs (iterate, repeat-until, repeat-while) the reachability problem for a
DAML-S 0.5 process model is NP-Complete.
The proof makes use of the following fact.
Proposition 2 DAML-S 0.5 without the iterate constructs results in
an acyclic network.
Proof Sketch
(Theorem 2) For acyclic networks, there
is a well known polynomial-time reduction to INTEGER LINEAR PROGRAMMING [7],
because in an acyclic net N with initial marking M0 a marking M is
reachable iff the system of equations corresponding to the state equation M = M0+C(
X), where C is the incidence matrix of N, has an integer vector solution
X. (For the definitions of incidence
matrix and state equation, see, for instance, [26].) Since INTEGER LINEAR
PROGRAMMING is in NP [7], so is the reachability problem for DAML-S 0.5 without
the iterate constructs.
Proposition 3
(Complexity of Restricted Verification and Composition) From Theorem 2 we can
conclude that Web Service Safety Verification is NP-Complete for composite
services without the iterate constructs.
Theorem 2 is not relevant to automated composition since the net used to
generate the composition does not represent a single process. Theorems 3 and 4 below define classes of
composite Web services where safety verification is polynomial.
Theorem 3 Without the choice and iterate constructs, DAML-S
0.5 forms a sub-language with polynomial
algorithms for reachability and deadlock of a DAML-S process.
Proof Sketch
(Theorem 3) The
proof makes use of the theory of conflict-free
nets.
Definition 7
(Conflict-Free Nets) Conflict-free nets are a subclass in which
conflicts are structurally ruled out. A
net N = (P; T; F; M0) is conflict-free if for every place p, if |p·| > 1, then p·Í ·p. Howell and Rosier show [18] that the reachability, liveness, and
deadlock problems for 1-safe conflict-free nets are solvable in polynomial
time.
Proposition 4 In DAML-S, a) both iterate
and choice introduce conflict constructs (iterate introduces a conflict between
the repeat
and finish transitions, while choice is by definition a structural conflict) and b) no other control
construct introduces structural conflicts.

Theorem 4 Without the iterate and condition constructs, DAML-S
forms a sublanguage with polynomial algorithms for reachability and deadlock of
a DAML-S process.
Proof Sketch
(Theorem 4) The
proof makes use of the theory of free-choice nets.
Definition 8
(Free-Choice Nets) A net N = (P; T; F; M0) is free-choice if for any pair (p; t) Î F Ç
(T X P), it is the case that p·.= {t} or ·p = {t}. In a free-choice
net, if some transitions share an input place p, then p is their unique input
place. It follows that if any of them is enabled, then all of them are enabled.
Therefore, it is always possible to freely choose which of them occurs. The
reachability problem is still PSPACE-complete for 1-safe free-choice nets.
Proposition
5 In DAML-S,
a) both iterate and condition introduce nonfree constructs and b) no other control construct introduces nonfree constructs.
Proposition 6 DAML-S modulo the iterate and condition constructs results in a free-choice net.
The principal verification tractability results are
shown in Table 1. We have not discussed the issue of resources in this
paper. Resources are not common with
Web-accessible programs, but they are common with devices. With resources, the DAML-S language becomes
equivalent to general place transition nets, for which reachability and
deadlock detection is known to be exponential in both space and time. This result is included for completeness
since the DAML-S coalition plans to introduce resources in a future release.
6. IMPLEMENTATION
We have implemented a DAML-S interpreter that
translates DAML-S markups to the simulation
and modeling environment KarmaSIM [27]. The KarmaSIM tool allows for
interactive simulation and supports the various verification and performance
analysis techniques outlined earlier.
The DAML-S interpreter is a Java program that reads in DAML-S files and outputs
a network description. The network is constructed recursively. Atomic processes
are created as shown in Figure 1. For each control construct specified in the
file, a template net is created as described in Section 4. The recursive
procedure bottoms out when all the transitions correspond to atomic processes.
The network thus constructed can then be visualized graphically using the
KarmaSIM simulation environment. Once created, a variety of analysis techniques
including reachability analysis, deadlock detection, invariant computations (T
and S invariants) can be performed for different intial states. The service
provider can also perform interactive simulations to validate various
hypothetical interaction scenarios, as well as to enact the canonical usage of
the service. Built into the framework are also quantitative analysis techniques
that can compute throughputs, as well as most-likely paths using a variety of
Markov Chain analysis techniques. A more complete description of the KarmaSIM
framework can be found at http://www.ai.sri.com/daml/services/.
We have already used our implementation to model a
variety of the existing DAML-S service ontologies. An example network,
constructed from the DAML-S Congo.daml book-buying Web service, is illustrated
in Figure 4 of the paper and can be found at http://www.daml.org/services/daml-s/2001/05/Congo.daml. The thick (red) arrow indicates the stage of
the interactive simulation (here the customer is ready to finish the buy
transaction)[10]. The
network here has a variety of non-free constructs as well as loops and
exercises the full functionality of DAML-S. An earlier version of the system
had a deadlock in that it does not allow a user to create a new account if
there is already one known. This has since been corrected.

Figure 4. KarmaSIM simulation
the DAML-S congo example
7. CONCLUSION
The Semantic Web is an exciting vision for the
evolution of the World Wide Web. Adding semantics enables structured
information to be interpreted unambiguously. Precise interpretation is a
necessary prerequisite for automatic Web search, discovery and use. Services
are a particularly important component of the Semantic Web. A semantic service
description language can enable a qualitative advance in the quality and
quantity of e-commerce transactions on the Web [16,23]. The DAML Services
Coalition, under the guise of DAML-S [9], has taken some important first steps
in this direction. This paper is the first attempt to provide a model-theoretic
semantics as well as a distributed operational semantics that can be used for
simulation, validation, verification, automated composition and enactment of
DAML-S-described Web services. The benefits of our approach include:
Formal executable semantics: a service description is
fully represented using the machinery of situation calculus and its execution
behavior unambiguously described using Petri Nets.
Analysis techniques and tools: mapping DAML-S onto situation calculus and Petri Nets allows us to
tap into a rich repository of analysis techniques and tools.
Service implementation tool: we mapped the DAML-S service
description to an existing process model which was able to perform simulation,
enactment and analysis of composite service descriptions.
Complexity and reasoning: the expressive power of the
DAML-S process model compares to ordinary Petri Nets. We identified more tractable subsets of DAML-S which trade
expressiveness for more efficient analysis for verification, composition and
model checking.
We described an implemented system that is able to
read in DAML-S service descriptions and perform simulation, enactment and
analysis that can a) aid the service provider to test the functional
correctness and tune the performance of her service, and b) enable service composition agents to automatically
configure a sequence of atomic services to achieve a specific goal. Furthermore, our model provides guidelines
for important future extensions to
DAML-S in the direction of richer execution monitoring constructs and more
expressive resource-based reasoning constructs. While this paper outlined our
computational model and implementation
with respect to the DAML-S markup language, we believe that the tools and
techniques described are broadly applicable and necessary for realizing the
vision of a Semantic Web.
8.
ACKNOWLEDGEMENTS
We would like to acknowledge our colleagues in the
DAML Services Coalition for development of the DAML-S ontology. We would also like to thank the members of
the DAML groups at KSL, Stanford and at SRI International for interesting
discussions on various aspects of this work. We particularly thank the WWW11
anonymous reviewers for an informative and thorough review of this paper. Finally we gratefully acknowledge the
financial support of the US Defense Advanced Research Projects Agency DARPA
Agent Markup Language (DAML) Program #F30602-00-C-0168 and #F30602-00-2-0579-P00001.
9.
REFERENCES
[1] van der Aalst, W..M..P. Woflan: A Petri-net-based workflow
analyzer, Systems Analysis - Modelling -
Simulation, 35(3):345-357, 1999.
[2]
Baral, C., Kreinovich, V. and Trejo, R. Computational complexity of planning
and approximate planning in the presence of incompleteness, Artificial Intelligence,
122(1-2):241-267, 2000.
[3] Benjamins, V.R., Plaza, E., Motta, E.,
Fensel, D., Studer, R., Wielinga, B.,
Schreiber, G., and Zdrahal, Z. IBROW3 -
An intelligent brokering service for knowledge-component reuse on the world
wide web. Proc.11th Banff
Knowledge Acquisition for Knowledge-Based System Workshop (KAW’98), 1998.
http://spuds.cpsc.ucalgary.ca/KAW/KAW98/KAW98Proc.html
[4] Berners-Lee,
T., Hendler, J., Lassila, O. The Semantic Web, Scientific American, May, 2001.
[5]
Best, E. and Desel, J. Partial order behaviour and structure of Petri Nets. Formal Aspects of Computing, 2:123-138,
1990.
[6]
Blum, A.L. and Furst, M.L. Fast Planning through Planning Graph Analysis, Artificial Intelligence,
90(1-2):281-300, 1997.
[7]
Cheng, A. and Esperza, J. Complexity results for 1-safe nets, FST&TCS 13, Foundations of Software Technology &
Theoretical Computer Science, 1993.
[8]
DAML-S versions 0.5 and 0.6. http://www.daml.org/services/.
[9]
DAML Services Coalition: Ankolekar, A., Burstein, M., Hobbs, J., Lassila, O.,
Martin, D., McIlraith, S., Narayanan, S., Paolucci, M., Payne, T., Sycara, K.,
Zeng, H. DAML-S: Semantic Markup for Web Services, Proc. International Semantic Web Working Symposium (SWWS), 2001.
[10]
Denker, G., Hobbs, J., Martin D., Narayanan, S. and Waldinger, R., Querying and accessing information on
the semantic web, Proc. Semantic Web
Workshop, in conjunction with 10th International Worldwide Web Conference,
2001.
[11]
Desel, J. and Esparza, J. Shortest paths in reachability graphs. Proc. Application and Theory of Petri Nets,
pp. 224-241, Springer-Verlag (LNCS 691), 1993.
[12]
Ellis, C.A. and G.J. Nutt, Modelling and enactment of workflow systems, Application and Theory of Petri Nets,
LNCS 691, pp. 1-16, Springer-Verlag, 1993.
[13]
Fikes, R. and McGuinness, D. An
Axiomatic Semantics for RDF, RDF-S, and DAML+OIL, Manuscript. March, 2001.
http://www.daml.org/2001/03/axiomatic-semantics.html
[14]
De Giacomo, G., Lesperance, Y. and Levesque, H. ConGolog, a concurrent
programming language based on the situation calculus. Artificial Intelligence, 121(1-2):109-169, 2000.
[15] Gruninger, M. Personal communications, August, 2001.
[16]
Hendler, J. Agents on the Web. IEEE
Intelligent Systems. Special Issue on the Semantic Web. 16(2) March/April,
2001.
[17]
Hendler, J. and McGuinness, D. The DARPA Agent Markup Language. IEEE Intelligent Systems, Trends and
Controversies, pp. 6-7, November/December 2000.
[18]
Howell, R. and Rosier, L.E. Problems concerning fairness and temporal logic for
conflict-free Petri Nets. Theoretical
Computer Science, 64(3):305-329, 1989.
[19]
H. Kautz and B. Selman, Unifying SAT-based and graph-based planning, Proc. 16th International Joint
Conference on Artificial Intelligence (IJCAI’99), 1999.
[20]
Lowe, D. et al. BizTalk(TM)
Server: The Complete Reference.
November, 2001.
[21]
Mayr, E.W. An algorithm for the general Petri net reachability problem. SIAM Journal on Computing, 13:441-460,
1984.
[22]
McIlraith, S. and Fadel, R. Planning
with Complex Actions.
Proc. International
Workshop on Non-Monotonic Reasoning
(NMR2002). To
appear, 2002.
[23]
McIlraith, S. Son, T.C. and Zeng, H. Semantic Web services , IEEE Intelligent Systems. Special Issue
on the Semantic Web. 16(2):46-53, March/April, 2001.
[24]
McIlraith, S. and Son, T. Adapting Golog for composition of semantic Web
services, Proc 8th
International Conference on Principles of Knowledge Representation and
Reasoning. To appear, 2002.
[25]
Meseguer, J. and Montanari, U. Petri Nets are monoids. Information and Computation, 88:105, 1990.
[26]
Murata, T. Petri Nets: Properties, analysis and applications. Proc. of the IEEE, 77(4):541-580, 1989.
[27]
Narayanan, S. Reasoning About Actions in Narrative Understanding. Proc. International Joint Conference on
Artificial Intelligence (IJCAI '99), pp. 350-358, 1999.
[28]
Reiter, R. Knowledge in Action: Logical
Foundations for Specifying and Implementing Dynamical Systems. MIT Press, 2001.
[29]
Schlenoff, M. Gruninger, F. Tissot, J.
Valois, J. Lubell, J. Lee, The Process Specification Language (PSL): Overview
and Version 1.0 Specification, NISTIR 6459, National Institute of Standards and
Technology, Gaithersburg, MD, 2001.
[30]
van Harmelen, F. and Horrocks, I. FAQs
on OIL: the Ontology Inference Layer.
IEEE Intelligent Systems, Trends and Controversies, pp. 3-6,
November/December 2000.
[31]
Waldinger, R. Deductive composition of Web software agents. Proc. NASA Goddard Workshop on Formal
Approaches to Agent-Based Systems, LNCS 1871, Springer-Verlag. 2000.
[32]
Winskel, G. Petri Nets, algebras, morphisms and compositionality. Information and Computation,
72(3):197-238, 1987.
Copyright is held by the author/owner(s). WWW 2002, May 7-11, 2002, Honolulu, Hawaii, USA. ACM 1-58113-449 5/02/0005.
[1] AI Laboratory, SRI International and ICSI, Berkeley, snarayan@icsi.berkeley.edu
[2] KSL, Stanford University, sam@ksl.stanford.edu
[3] DAML Services Coalition: A. Ankolekar, M.
Burstein, J. Hobbs, O. Lassila, D. Martin, D. McDermott, S. McIlraith, S.
Narayanan, M. Paolucci, T. Payne, K. Sycara, H. Zeng.
[4] Observe that the range of many properties is currently stipulated as
#Thing or #string. Some of these ranges
will be changed to well-formed formulae in first-order logic, as soon as that
ontology is complete.
[5] Actions are parameterized a(y).
Where possible, we suppress the parameters for the sake of parsimony.
[6] For ease of exposition, we leave out the
case of typed or colored nets, which represent predicate
transition nets. For finite domains (finite colors), such nets can be unfolded
to the ordinary case considered here. The tool described in Section 6 handles
both prepositional (ordinary) and predicate (with types) nets.
[7] Note that we are mainly interested in the analysis of
the control compositions. For instance, we assume finite domains. It is well
known that in infinite domains (nets with infinite colors), many verification
problems become undecidable [27]. Also, the reachability analysis relies on an
interleaving semantics which corresponds to a total ordering on tasks.
This is consistent with results in AI planning [2].
[8] Thanks to an anonymous
referee for pointing this out.
[9] Consider the case where an
agent (fictitious, of course) may go to Congo.com to browse reviews of books
and then buy them from a cheaper rival. This is possible if Congo.com includes
the browse review process in its service description.
[10] Colors of the gif in Figure
2 are not faithfully reproduced in some pdf files. http://www.ai.sri.com/daml/services/
and also http://www.icsi.berkeley.edu/~snarayan/www11.html
show a set of the screen dumps for different stages of the interactive
simulation.