Copyright is held by the author/owner(s)
WWW2002, May 7-11, 2002, Honolulu, Hawaii, USA.
ACM 1-58113-449-5/02/0005.
In this paper we study how we can design an effective parallel crawler. As the size of the Web grows, it becomes imperative to parallelize a crawling process, in order to finish downloading pages in a reasonable amount of time. We first propose multiple architectures for a parallel crawler and identify fundamental issues related to parallel crawling. Based on this understanding, we then propose metrics to evaluate a parallel crawler, and compare the proposed architectures using 40 million pages collected from the Web. Our results clarify the relative merits of each architecture and provide a good guideline on when to adopt which architecture.
H.5.4 [Hypertext/Hypermedia]: architectures; H.3.4 [Systems and Software]: Distributed Systems
Management, Performance, Design
Web Crawler, Web Spider, Parallelization
A crawler is a program that downloads and stores Web pages, often for a Web search engine. Roughly, a crawler starts off by placing an initial set of URLs, S0, in a queue, where all URLs to be retrieved are kept and prioritized. From this queue, the crawler gets a URL (in some order), downloads the page, extracts any URLs in the downloaded page, and puts the new URLs in the queue. This process is repeated until the crawler decides to stop. Collected pages are later used for other applications, such as a Web search engine or a Web cache.
As the size of the Web grows, it becomes more difficult to retrieve the whole or a significant portion of the Web using a single process. Therefore, many search engines often run multiple processes in parallel to perform the above task, so that download rate is maximized. We refer to this type of crawler as a parallel crawler.
In this paper we study how we should design a parallel crawler, so that we can maximize its performance (e.g., download rate) while minimizing the overhead from parallelization. We believe many existing search engines already use some sort of parallelization, but there has been little scientific research conducted on this topic. Thus, little has been known on the tradeoffs among various design choices for a parallel crawler. In particular, we believe the following issues make the study of a parallel crawler challenging and interesting:
While challenging to implement, we believe that a parallel crawler has many important advantages, compared to a single-process crawler:
Note that the downloaded pages may need to be transferred later to a central location, so that a central index can be built. However, even in that case, we believe that the transfer can be significantly smaller than the original page download traffic, by using some of the following methods:
To build an effective web crawler, we clearly need to address many more challenges than just parallelization. For example, a crawler needs to figure out how often a page changes and how often it would revisit the page in order to maintain the page up to date [7,10]. Also, it has to make sure that a particular Web site is not flooded with its HTTP requests during a crawl [17,12,24]. In addition, it has to carefully select what page to download and store in its limited storage space in order to make the best use of its stored collection of pages [9,5,11]. While all of these issues are important, we focus on the crawler parallelization in this paper, because this problem has been paid significantly less attention than the others.
In summary, we believe a parallel crawler has many advantages and poses interesting challenges. In particular, we believe our paper makes the following contributions:
Web crawlers have been studied since the advent of the Web [18,23,4,22,14,6,19,12,9,5,11,10,7]. These studies can be roughly categorized into one of the following topics:
There also exists a significant body of literature studying the general problem of parallel and distributed computing [21,25]. Some of these studies focus on the design of efficient parallel algorithms. For example, References [20,16] present various architectures for parallel computing, propose algorithms that solve various problems (e.g., finding maximum cliques) under the architecture, and study the complexity of the proposed algorithms. While the general principles described are being used in our work,1 none of the existing solutions can be directly applied to the crawling problem.
Another body of literature designs and implements distributed operating systems, where a process can use distributed resources transparently (e.g., distributed memory, distributed file systems) [25,1]. Clearly, such OS-level support makes it easy to build a general distributed application, but we believe that we cannot simply run a centralized crawler on a distributed OS to achieve parallelism. A web crawler contacts millions of web sites in a short period of time and consumes extremely large network, storage and memory resources. Since these loads push the limit of existing hardwares, the task should be carefully partitioned among processes and they should be carefully coordinated. Therefore, a general-purpose distributed operating system that does not understand the semantics of web crawling will lead to unacceptably poor performance.
In Figure 1 we illustrate the general architecture of a parallel crawler. A parallel crawler consists of multiple crawling processes, which we refer to as C-proc's. Each C-proc performs the basic tasks that a single-process crawler conducts. It downloads pages from the Web, stores the pages locally, extracts URLs from the downloaded pages and follows links. Depending on how the C-proc's split the download task, some of the extracted links may be sent to other C-proc's. The C-proc's performing these tasks may be distributed either on the same local network or at geographically distant locations.
When C-proc's run at distant locations and communicate through the Internet, it becomes important how often and how much C-proc's need to communicate. The bandwidth between C-proc's may be limited and sometimes unavailable, as is often the case with the Internet.

Figure 1: General architecture of a parallel crawler
When multiple C-proc's download pages in parallel, different C-proc's may download the same page multiple times. In order to avoid this overlap, C-proc's need to coordinate with each other on what pages to download. This coordination can be done in one of the following ways:
While this scheme has minimal coordination overhead and can be very scalable, we do not directly study this option due to its overlap problem. Later we will consider an improved version of this option, which significantly reduces overlap.
For example, assume that a central coordinator partitions the Web by the site name of a URL. That is, pages in the same site (e.g., http://cnn.com/top.html and http://cnn.com/content.html) belong to the same partition, while pages in different sites belong to different partitions. Then during a crawl, the central coordinator constantly decides on what partition to crawl next (e.g., the site cnn.com) and sends URLs within this partition (that have been discovered so far) to a C-proc as seed URLs. Given this request, the C-proc downloads the pages and extracts links from them. When the extracted links point to pages in the same partition (e.g., http://cnn.com/article.html), the C-proc follows the links, but if a link points to a page in another partition (e.g., http://nytimes.com/index.html), the C-proc reports the link to the central coordinator. The central coordinator later uses this link as a seed URL for the appropriate partition. Note that the Web can be partitioned at various granularities. At one extreme, the central coordinator may consider every page as a separate partition and assign individual URLs to C-proc's for download. In this case, a C-proc does not follow links, because different pages belong to separate partitions. It simply reports all extracted URLs back to the coordinator. Therefore, the communication between a C-proc and the central coordinator may vary dramatically, depending on the granularity of the partitioning function.
In this paper, we mainly focus on static assignment because of its simplicity and scalability, and defer the study of dynamic assignment to future work. Note that in dynamic assignment, the central coordinator may become the major bottleneck, because it has to maintain a large number of URLs reported from all C-proc's and has to constantly coordinate all C-proc's. Thus the coordinator itself may also need to be parallelized.
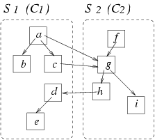
Under static assignment, each C-proc is responsible for a certain partition of the Web and has to download pages within the partition. However, some pages in the partition may have links to pages in another partition. We refer to this type of link as an inter-partition link. To illustrate how a C-proc may handle inter-partition links, we use Figure 2 as our example. In the figure, we assume two C-proc's, C1 and C2, are responsible for sites S1 and S2, respectively. For now, we assume that the Web is partitioned by sites and that the Web has only S1 and S2. Also, we assume that each C-proc starts its crawl from the root page of each site, a and f.

Figure 2: Site S1 is crawled by C1 and site S2 is crawled by C2
g, c
g
and h
d in Figure 2
are ignored and thrown away by C1 and C2.
In this mode, the overall crawler does not have any
overlap in the downloaded pages, because a page can
be downloaded by only one C-proc, if ever.
However, the overall crawler
may not download all pages that it has to download, because
some pages may be reachable only through inter-partition links.
For example, in Figure 2,
C1 can download a, b and c,
but not d and e, because they can be
reached only through h
d link.
However, C-proc's can run quite independently in this mode,
because they do not conduct any run-time coordination
or URL exchanges.
In this mode, downloaded pages may clearly overlap (pages g and h are downloaded twice), but the overall crawler can download more pages than the firewall mode (C1 downloads d and e in this mode). Also, as in the firewall mode, C-proc's do not need to communicate with each other, because they follow only the links discovered by themselves.
For example, C1 in Figure 2 informs C2 of page g after it downloads page a (and c) and C2 transfers the URL of page d to C1 after it downloads page h. Note that C1 does not follow links to page g. It only transfers the links to C2, so that C2 can download the page. In this way, the overall crawler can avoid overlap, while maximizing coverage.
Note that the firewall and the cross-over modes give C-proc's much independence (C-proc's do not need to communicate with each other), but they may download the same page multiple times, or may not download some pages. In contrast, the exchange mode avoids these problems but requires constant URL exchange between C-proc's.
To reduce URL exchange, a crawler based on the exchange mode may use some of the following techniques:
This batch communication has various advantages over incremental communication. First, it incurs less communication overhead, because a set of URLs can be sent in a batch, instead of sending one URL per message. Second, the absolute number of exchanged URLs will also decrease. For example, consider C1 in Figure 2. The link to page g appears twice, in page a and in page c. Therefore, if C1 transfers the link to g after downloading page a, it needs to send the same URL again after downloading page c.2 In contrast, if C1 waits until page c and sends URLs in batch, it needs to send the URL for g only once.
Thus, we may significantly reduce URL exchanges, if we replicate the most ``popular'' URLs at each C-proc (by most popular, we mean the URLs with most incoming links) and stop transferring them between C-proc's. That is, before we start crawling pages, we identify the most popular k URLs based on the image of the Web collected in a previous crawl. Then we replicate these URLs at each C-proc, so that the C-proc's do not exchange them during a crawl. Since a small number of Web pages have a large number of incoming links, this scheme may significantly reduce URL exchanges between C-proc's, even if we replicate a small number of URLs.
Note that some of the replicated URLs may be used as the seed URLs for a C-proc. That is, if some URLs in the replicated set belong to the same partition that a C-proc is responsible for, the C-proc may use those URLs as its seeds rather than starting from other pages.
Also note that it is possible that each C-proc tries to discover popular URLs on the fly during a crawl, instead of identifying them based on the previous image. For example, each C-proc may keep a ``cache'' of recently seen URL entries. This cache may pick up ``popular'' URLs automatically, because the popular URLs show up repeatedly. However, we believe that the popular URLs from a previous crawl will be a good approximation for the popular URLs in the current Web; Most popular Web pages (such as Yahoo!) maintain their popularity for a relatively long period of time, even if their exact popularity may change slightly.
So far, we have mainly assumed that the Web pages are partitioned by Web sites. Clearly, there exists a multitude of ways to partition the Web, including the following:
In this scheme, note that the pages in the same site will be allocated to the same partition. Therefore, only some of the inter-site links will be inter-partition links, and thus we can reduce the number of inter-partition links quite significantly compared to the URL-hash based scheme.
Because pages hosted in the same domain or country may be more likely to link to pages in the same domain, scheme may have even fewer inter-partition links than the site-hash based scheme.
In this paper, we do not consider the URL-hash based scheme, because it generates a large number of inter-partition links. When the crawler uses URL-hash based scheme, C-proc's need to exchange much larger number of URLs (exchange mode), and the coverage of the overall crawler can be much lower (firewall mode).
In addition, in our later experiments, we will mainly use the site-hash based scheme as our partitioning function. We chose this option because it is much simpler to implement, and because it captures the core issues that we want to study. For example, under the hierarchical scheme, it is not easy to divide the Web into equal size partitions, while it is relatively straightforward under the site-hash based scheme.4 Also, we believe we can interpret the results from the site-hash based scheme as the upper/lower bound for the hierarchical scheme. For instance, assuming Web pages link to more pages in the same domain, the number of inter-partition links will be lower in the hierarchical scheme than in the site-hash based scheme (although we could not confirm this trend in our experiments).

Figure 3: Summary of the options discussed
In Figure 3, we summarize the options that we have discussed so far. The right-hand table in the figure shows more detailed view on the static coordination scheme. In the diagram, we highlight the main focus of our paper with dark grey. That is, we mainly study the static coordination scheme (the third column in the left-hand table) and we use the site-hash based partitioning for our experiments (the second row in the second table). However, during our discussion, we will also briefly explore the implications of other options. For instance, the firewall mode is an ``improved'' version of the independent coordination scheme (in the first table), so our study on the firewall mode will show the implications of the independent coordination scheme. Also, we roughly estimate the performance of the URL-hash based scheme (first row in the second table) when we discuss the results from the site-hash based scheme.
Given our table of crawler design space, it would be very interesting to see what options existing search engines selected for their own crawlers. Unfortunately, this information is impossible to obtain in most cases because companies consider their technologies proprietary and want to keep them secret. The only two crawler designs that we know of are the prototype Google crawler [22] (when it was developed at Stanford) and the Mercator crawler [15] at Compaq. The prototype google crawler used the intra-site, static and site-hash based scheme and ran in exchange mode [22]. The Mercator crawler uses the site-based hashing scheme.
In this section, we define metrics that will let us quantify the advantages or disadvantages of different parallel crawling schemes. These metrics will be used later in our experiments.
More precisely, we define the overlap of downloaded pages as (N-I)/I. Here, N represents the total number of pages downloaded by the overall crawler, and I represents the number of unique pages downloaded, again, by the overall crawler. Thus, the goal of a parallel crawler is to minimize the overlap.
Note that a parallel crawler does not have an overlap problem, if it is based on the firewall mode (Section 3, Item 1) or the exchange mode (Section 3, Item 3). In these modes, a C-proc downloads pages only within its own partition, so the overlap is always zero.
To formalize this notion, we define the coverage of downloaded pages as I/U, where U represents the total number of pages that the overall crawler has to download, and I is the number of unique pages downloaded by the overall crawler. For example, in Figure 2, if C1 downloaded pages a, b and c, and if C2 downloaded pages f through i, the coverage of the overall crawler is 7/9 = 0.77, because it downloaded 7 pages out of 9.
For example, let us assume that the crawler uses backlink count as its importance metric. That is, the crawler considers a page p important when a lot of other pages point to it. Then the goal of the crawler is to download the most highly-linked 1 million pages. To achieve this goal, a single-process crawler may use the following method [9]: The crawler constantly keeps track of how many backlinks each page has from the pages that it has already downloaded, and first visits the page with the highest backlink count. Clearly, the pages downloaded in this way may not be the top 1 million pages, because the page selection is not based on the entire Web, only on what has been seen so far. Thus, we may formalize the notion of ``quality'' of downloaded pages as follows [9]:
First, we assume a hypothetical oracle crawler,
which knows the exact importance of every page
under a certain importance metric.
We assume that the oracle crawler downloads the most important
N pages in total,
and use PN to represent that set of N pages.
We also use AN to represent the set of N pages
that an actual crawler would download,
which would not be necessarily the same as PN.
Then we define
|AN
PN|/|PN| as the quality of downloaded
pages by the actual crawler. Under this definition, the quality represents
the fraction of the true top N pages that are downloaded by the crawler.
Note that the quality of a parallel crawler may be worse than that of a single-process crawler, because many importance metrics depend on the global structure of the Web (e.g., backlink count). That is, each C-proc in a parallel crawler may know only the pages that are downloaded by itself, and thus have less information on page importance than a single-process crawler does. On the other hand, a single-process crawler knows all pages it has downloaded so far. Therefore, a C-proc in a parallel crawler may make a worse crawling decision than a single-process crawler.
In order to avoid this quality problem, C-proc's need to periodically exchange information on page importance. For example, if the backlink count is the importance metric, a C-proc may periodically notify other C-proc's of how many pages in its partition have links to pages in other partitions.
Note that this backlink exchange can be naturally incorporated in an exchange mode crawler (Section 3, Item 3). In this mode, crawling processes exchange inter-partition URLs periodically, so a C-proc can simply count how many inter-partition links it receives from other C-proc's, to count backlinks originating in other partitions. More precisely, if the crawler uses the batch communication technique (Section 3.1, Item 1), process C1 would send a message like [http://cnn.com/index.html, 3] to C2, to notify that C1 has seen 3 links to the page in the current batch.5 On receipt of this message, C2 then increases the backlink count for the page by 3 to reflect the inter-partition links. By incorporating this scheme, we believe that the quality of the exchange mode will be better than that of the firewall mode or the cross-over mode.
However, note that the quality of an exchange mode crawler may vary depending on how often it exchanges backlink messages. For instance, if crawling processes exchange backlink messages after every page download, they will have essentially the same backlink information as a single-process crawler does. (They know backlink counts from all pages that have been downloaded.) Therefore, the quality of the downloaded pages would be virtually the same as that of a single-process crawler. In contrast, if C-proc's rarely exchange backlink messages, they do not have ``accurate'' backlink counts from downloaded pages, so they may make poor crawling decisions, resulting in poor quality. Later, we will study how often C-proc's should exchange backlink messages in order to maximize the quality.
| Mode | Coverage | Overlap | Quality | Communication |
| Firewall | Bad | Good | Bad | Good |
| Cross-over | Good | Bad | Bad | Good |
| Exchange | Good | Good | Good | Bad |
In Table 1, we compare the relative merits of the three crawling modes (Section 3, Items 1-3). In the table, ``Good'' means that the mode is expected to perform relatively well for that metric, and ``Bad'' means that it may perform worse compared to other modes. For instance, the firewall mode does not exchange any inter-partition URLs (Communication: Good) and downloads pages only once (Overlap: Good), but it may not download every page (Coverage: Bad). Also, because C-proc's do not exchange inter-partition URLs, the downloaded pages may be of low quality than those of an exchange mode crawler. Later, we will examine these issues more quantitatively through experiments based on real Web data.
We have discussed various issues related to a parallel crawler and identified multiple alternatives for its architecture. In the remainder of this paper, we quantitatively study these issues through experiments conducted on real Web data.
In all of the following experiments, we used 40 million Web pages in our Stanford WebBase repository. Because the property of this dataset may significantly impact the result of our experiments, readers might be interested in how we collected these pages.
We downloaded the pages using our Stanford WebBase crawler in December 1999 in the period of 2 weeks. In downloading the pages, the WebBase crawler started with the URLs listed in Open Directory (http://www.dmoz.org), and followed links. We decided to use the Open Directory URLs as seed URLs, because these pages are the ones that are considered ``important'' by its maintainers. In addition, some of our local WebBase users were keenly interested in the Open Directory pages and explicitly requested that we cover them. The total number of URLs in the Open Directory was around 1 million at that time. Then conceptually, the WebBase crawler downloaded all these pages, extracted URLs within the downloaded pages, and followed links in a breadth-first manner. (The WebBase crawler uses various techniques to expedite and prioritize crawling process, but we believe these optimizations do not affect the final dataset significantly.)
Our dataset is relatively ``small'' (40 million pages) compared to the full Web, but keep in mind that using a significantly larger dataset would have made many of our experiments prohibitively expensive. As we will see, each of the graphs we present study multiple configurations, and for each configuration, multiple crawler runs were made to obtain statistically valid data points. Each run involves simulating how one or more C-proc's would visit the 40 million pages. Such detailed simulations are inherently very time consuming.
It is clearly difficult to predict what would happen for a larger dataset. In the extended version of this paper [8], we examine this data size issue a bit more carefully and discuss whether a larger dataset would have changed our conclusions.
A firewall mode crawler (Section 3, Item 1) has minimal communication overhead, but it may have coverage and quality problems (Section 4). In this section, we quantitatively study the effectiveness of a firewall mode crawler using the 40 million pages in our repository. In particular, we estimate the coverage (Section 4, Item 2) of a firewall mode crawler when it employs n C-proc's in parallel. (We discuss the quality issue of a parallel crawler later.)
In our experiments, we considered the 40 million pages within our WebBase repository as the entire Web, and we used site-hash based partitioning (Section 3.2, Item 2). As the seed URLs, each C-proc was given 5 random URLs from its own partition, so 5n seed URLs were used in total by the overall crawler. (We discuss the effect of the number of seed URLs shortly.) Since the crawler ran in firewall mode, C-proc's followed only intra-partition links, not inter-partition links. Under these settings, we let the C-proc's run until they ran out of URLs. After this simulated crawling, we measured the overall coverage of the crawler. We performed these experiments with 5n random seed URLS and repeated the experiments multiple times with different seed URLs. In all of the runs, the results were essentially the same.

Figure 4: Number of processes vs. Coverage
In Figure 4, we summarize the results from the experiments. The horizontal axis represents n, the number of parallel C-proc's, and the vertical axis shows the coverage of the overall crawler for the given experiment. Note that the coverage is only 0.9 even when n = 1 (a single-process). This result is because the crawler in our experiment started with only 5 URLs, while the actual dataset was collected with 1 million seed URLs. Thus, some of the 40 million pages were unreachable from the 5 seed URLs.
From the figure it is clear that the coverage decreases as the number of processes increases. This trend is because the number of inter-partition links increases as the Web is split into smaller partitions, and thus more pages are reachable only through inter-partition links.
From this result we can see that we may run a crawler in a firewall mode without much decrease in coverage with fewer than 4 C-proc's. For example, for the 4-process case, the coverage decreases only 10% from the single-process case. At the same time, we can also see that the firewall mode crawler becomes quite ineffective with a large number of C-proc's. Less than 10% of the Web can be downloaded when 64 C-proc's run together, each starting with 5 seed URLs.

Figure 5: Number of seed URLs vs. Coverage
Clearly, coverage may depend on the number of seed URLs that each C-proc starts with. To study this issue, we also ran experiments varying the number of seed URLs, s, and we show the results in Figure 5. The horizontal axis in the graph represents s, the total number of seed URLs that the overall crawler used, and the vertical axis shows the coverage for that experiment. For example, when s = 128, the overall crawler used 128 total seed URLs, each C-proc starting with 2 seed URLs when 64 C-proc's ran in parallel. We performed the experiments for 2, 8, 32, 64 C-proc cases and plotted their coverage values. From this figure, we can observe the following trends:
Based on these results, we draw the following conclusions:
Example 1 (Generic search engine) To illustrate how our results could guide the design of a parallel crawler, consider the following example. Assume that to operate a Web search engine, we need to download 1 billion pages6 in one month. Each machine that we plan to run our C-proc's on has 10 Mbps link to the Internet, and we can use as many machines as we want. Given that the average size of a web page is around 10K bytes, we roughly need to download 104 ×109 = 1013 bytes in one month. This download rate corresponds to 34 Mbps, and we need 4 machines (thus 4 C-proc's) to obtain the rate. Given the results of our experiment (Figure 4), and we may estimate that the coverage will be at least 0.8 with 4 C-proc's. Therefore, in this scenario, the firewall mode may be good enough, unless it is very important to download the ``entire'' Web.
Example 2 (High freshness) As a second example, let us now assume that we have strong ``freshness'' requirement on the 1 billion pages and need to revisit every page once every week, not once every month. This new scenario requires approximately 140 Mbps for page download, and we need to run 14 C-proc's. In this case, the coverage of the overall crawler decreases to less than 0.5 according to Figure 4. Of course, the coverage could be larger than our conservative estimate, but to be safe one would probably want to consider using a crawler mode different than the firewall mode.
In this section, we study the effectiveness of a cross-over mode crawler (Section 3, Item 2). A cross-over crawler may yield improved coverage of the Web, since it follows inter-partition links when a C-proc runs out of URLs in its own partition. However, this mode incurs overlap in downloaded pages (Section 4, Item 1), because a page can be downloaded by multiple C-proc's. Therefore, the crawler increases its coverage at the expense of overlap in the downloaded pages.

Figure 6: Coverage vs. Overlap for a cross-over mode crawler
In Figure 6, we show the relationship between the coverage and the overlap of a cross-over mode crawler obtained from the following experiments. We partitioned the 40M pages using site-hash partitioning and assigned them to n C-proc's. Each of the n C-proc's then was given 5 random seed URLs from its partition and followed links in the cross-over mode. During this experiment, we measured how much overlap the overall crawler incurred when its coverage reached various points. The horizontal axis in the graph shows the coverage at a particular time and the vertical axis shows the overlap at the given coverage. We performed the experiments for n = 2,4,...,64.
Note that in most cases the overlap stays at zero until the coverage becomes relatively large. For example, when n=16, the overlap is zero until coverage reaches 0.5. We can understand this result by looking at the graph in Figure 4. According to that graph, a crawler with 16 C-proc's can cover around 50% of the Web by following only intra-partition links. Therefore, even a cross-over mode crawler will follow only intra-partition links until its coverage reaches that point. Only after that, each C-proc starts to follow inter-partition links, thus increasing the overlap. For this reason, we believe that the overlap would have been much worse in the beginning of the crawl, if we adopted the independent model (Section 2). By applying the partitioning scheme to C-proc's, we make each C-proc stay in its own partition in the beginning and suppress the overlap as long as possible.
While the crawler in the cross-over mode is much better than one based on the independent model, it is clear that the cross-over crawler still incurs quite significant overlap. For example, when 4 C-proc's run in parallel in the cross-over mode, the overlap becomes almost 2.5 to obtain coverage close to 1. For this reason, we do not recommend the cross-over mode, unless it is absolutely necessary to download every page without any communication between C-proc's.
To avoid the overlap and coverage problems, an exchange mode crawler (Section 3, Item 3) constantly exchanges inter-partition URLs between C-proc's. In this section, we study the communication overhead (Section 4, Item 4) of an exchange mode crawler and how much we can reduce it by replicating the most popular k URLs. For now, let us assume that a C-proc immediately transfers inter-partition URLs. (We will discuss batch communication later when we discuss the quality of a parallel crawler.)
In the experiments, again, we split the 40 million pages into n partitions based on site-hash values and ran n C-proc's in the exchange mode. At the end of the crawl, we measured how many URLs had been exchanged during the crawl. We show the results in Figure 7. In the figure, the horizontal axis represents the number of parallel C-proc's, n, and the vertical axis shows the communication overhead (the average number of URLs transferred per page). For comparison purposes, the figure also shows the overhead for a URL-hash based scheme, although the curve is clipped at the top because of its large overhead values.

Figure 7: Number of crawling processes vs. Number of URLs exchanged per page
To explain the graph, we first note that an average page has 10 out-links, and about 9 of them point to pages in the same site. Therefore, the 9 links are internally followed by a C-proc under site-hash partitioning. Only the remaining 1 link points to a page in a different site and may be exchanged between processes. Figure 7 indicates that this URL exchange increases with the number of processes. For example, the C-proc's exchanged 0.4 URLs per page when 2 processes ran, while they exchanged 0.8 URLs per page when 16 processes ran. Based on the graph, we draw the following conclusions:
In the extended version of this paper [8], we also study how much we can reduce this overhead by replication. In short, our results indicate that we can get significant reduction in communication cost (between 40% - 50% reduction) when we replication the most popular 10,000 - 100,000 URLs in each C-proc. When we replicated more URLs, the cost reduction was not as dramatic as the first 100,000 URLs. Thus, we recommend replicating 10,000 - 100,000 URLs.
As we discussed, the quality (Section 4, Item 3) of a parallel crawler can be worse than that of a single-process crawler, because each C-proc may make crawling decisions solely based on the information collected within its own partition. We now study this quality issue. In the discussion we also study the impact of the batch communication technique (Section 3.1, Item 1) on quality.
Throughout the experiments in this section, we assume that the crawler uses the number of backlinks to page p as the importance of p, or I(p). That is, if 1000 pages on the Web have links to page p, the importance of p, is I(p) = 1000. Clearly, there exist many other ways to define the importance of a page, but we use this metric because it (or its variations) is being used by some existing search engines [22,13]. Also, note that this metric depends on the global structure of the Web. If we use an importance metric that solely depends on a page itself, not on the global structure of the Web, the quality of a parallel crawler will be essentially the same as that of a single crawler, because each C-proc in a parallel crawler can make good decisions based on the pages that it has downloaded.
Under the backlink metric, each C-proc in our experiments counted how many backlinks a page has from the downloaded pages and visited the page with the most backlinks first. Remember that the C-proc's need to periodically exchange messages to inform others of the inter-partition backlinks. Depending on how often they exchange messages, the quality of the downloaded pages will differ. For example, if C-proc's never exchange messages, the quality will be the same as that of a firewall mode crawler, and if they exchange messages after every downloaded page, the quality will be similar to that of a single-process crawler.
To study these issues, we compared the quality of the downloaded pages
when C-proc's exchanged backlink messages at various intervals
and we show the results
in Figures 8(a), 9(a) and 10(a).
Each graph shows the quality achieved by the overall crawler
when it downloaded a total of 500K,
2M, and 8M pages, respectively.
The horizontal axis in the graphs represents
the total number of URL exchanges during a crawl, x,
and the vertical axis shows the quality for the given experiment.
For example, when x=1, the C-proc's exchanged backlink count
information only once in the middle of the crawl.
Therefore, the case when x=0
represents the quality of a firewall mode crawler,
and the case when x
shows the quality of
a single-process crawler.
In Figures 8(b), 9(b) and 10(b),
we also show the communication overhead
(Section 4, Item 4);
that is, the average number of [URL, backlink count] pairs
exchanged per a downloaded page.


(a) URL exchange vs. Quality
(b) URL exchange vs. Communication
Figure 8: Crawlers downloaded 500K pages (1.2% of 40M)


(a) URL exchange vs. Quality
(b) URL exchange vs. Communication
Figure 9: Crawlers downloaded 2M pages (5% of 40M)


(a) URL exchange vs. Quality
(b) URL exchange vs. Communication
Figure 10: Crawlers downloaded 8M pages (20% of 40M)
From these figures, we can observe the following trends:
)
when the crawler downloads a relatively small fraction of the pages
(Figures 8(a) and 9(a)).
However, the difference is not very significant
when the crawler downloads a relatively
large fraction (Figure 10(a)).
In other experiments, when the crawler downloaded more than 50%
of the pages, the difference was almost negligible in any case.
(Due to space limitations, we do not show the graphs.)
Intuitively, this result makes sense because
quality is an important issue only
when the crawler downloads a small portion of the Web.
(If the crawler will visit all pages anyway, quality is not relevant.)We use the following example to illustrate how one can use the results of our experiments.
Example 3 (Medium-Scale Search Engine)
Say we plan to operate a medium-scale search engine,
and we want to maintain about 20% of the Web (200 M pages)
in our index. Our plan is to refresh the index once a month.
The machines that we can use have individual T1 links (1.5 Mbps)
to the Internet.
In order to update the index once a month, we need about 6.2 Mbps download
bandwidth, so we have to run at least 5 C-proc's on 5 machines.
According to Figure 10(a) (20% download case),
we can achieve the highest quality if the C-proc's exchange backlink
messages 10 times during a crawl
when 8 processes run in parallel. (We use the 8 process
case because it is the closest number to 5.)
Also, from Figure 10(b), we can see that
when C-proc's exchange messages 10 times during a crawl
they need to exchange fewer than 0.17 ×200M = 34M
[URL, backlink count] pairs in total.
Therefore, the total network bandwidth used by the
backlink exchange is only
(34M ·40)/(200M ·10K)
0.06 %
of the bandwidth used by actual page downloads.
Also, since the exchange happens only 10 times during a crawl,
the context-switch overhead for message transfers
(discussed in Section 8) is minimal.
Note that in this scenario we need to exchange 10 backlink messages
in one month or one message every three days. Therefore, even if
the connection between C-proc's is unreliable or sporadic,
we can still use the exchange mode without any problem.
Crawlers are being used more and more often to collect Web data for search engine, caches, and data mining. As the size of the Web grows, it becomes increasingly important to use parallel crawlers. Unfortunately, almost nothing is known (at least in the open literature) about options for parallelizing crawlers and their performance. Our paper addresses this shortcoming by presenting several architectures and strategies for parallel crawlers, and by studying their performance. We believe that our paper offers some useful guidelines for crawler designers, helping them, for example, select the right number of crawling processes, or select the proper inter-process coordination scheme.
In summary, the main conclusions of our study were the following:
1 For example, we may consider that our proposed solution is a variation of ``divide and conquer'' approach, since we partition and assign the Web to multiple processes.
2 When it downloads page c, it does not remember whether the link to g has been already sent.
3 According to our experiments, about 90% of the links in a page point to pages in the same site on average.
4 While the sizes of individual Web sites vary, the sizes of partitions are similar, because each partition contains many Web sites and their average sizes are similar among partitions.
5 If the C-proc's send inter-partition URLs incrementally after every page, the C-proc's can send the URL only, and other C-proc's can simply count these URLs.
6Currently the Web is estimated to have around 1 billion pages.
7 In our estimation, an average URL was about 40 bytes long.
Copyright is held by the author/owner(s). WWW2002, May 7-11, 2002, Honolulu, Hawaii, USA. ACM 1-58113-449-5/02/0005.